Официальное опубликование правовых актов
ОФИЦИАЛЬНОЕ ОПУБЛИКОВАНИЕ
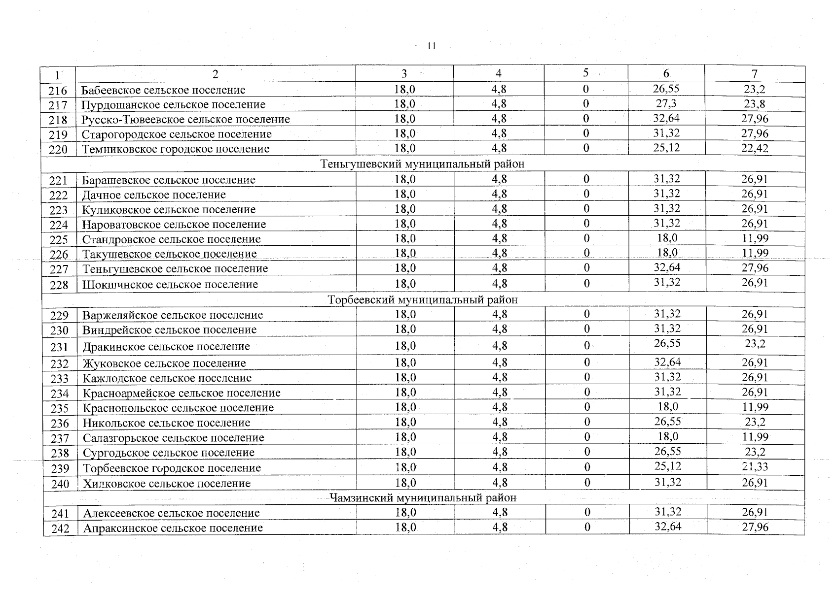
Приказ Государственного комитета по тарифам Республики Мордовия от 15.08.2025 № 95
"О результатах мониторинга соблюдения предельных (максимальных) индексов изменения размера вносимой гражданами платы за коммунальные услуги в муниципальных образованиях Республики Мордовия за июль 2025 года"
(Зарегистрирован 15.08.2025 № 192025041)
Номер опубликования: 1301202508150004
Дата опубликования: 15.08.2025
Страница №11 из 12:
Увеличить