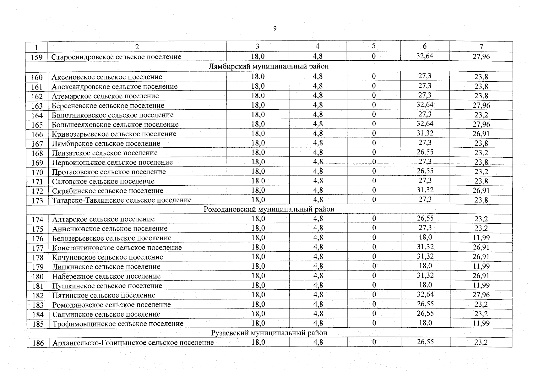
Приказ Государственного комитета по тарифам Республики Мордовия от 17.10.2025 № 130
"О результатах мониторинга соблюдения предельных (максимальных) индексов изменения размера вносимой гражданами платы за коммунальные услуги в муниципальных образованиях Республики Мордовия за сентябрь 2025 года"
(Зарегистрирован 17.10.2025 № 192025053)
"О результатах мониторинга соблюдения предельных (максимальных) индексов изменения размера вносимой гражданами платы за коммунальные услуги в муниципальных образованиях Республики Мордовия за сентябрь 2025 года"
(Зарегистрирован 17.10.2025 № 192025053)
Номер опубликования: 1301202510200001
Дата опубликования:
20.10.2025
