Официальное опубликование правовых актов
ОФИЦИАЛЬНОЕ ОПУБЛИКОВАНИЕ
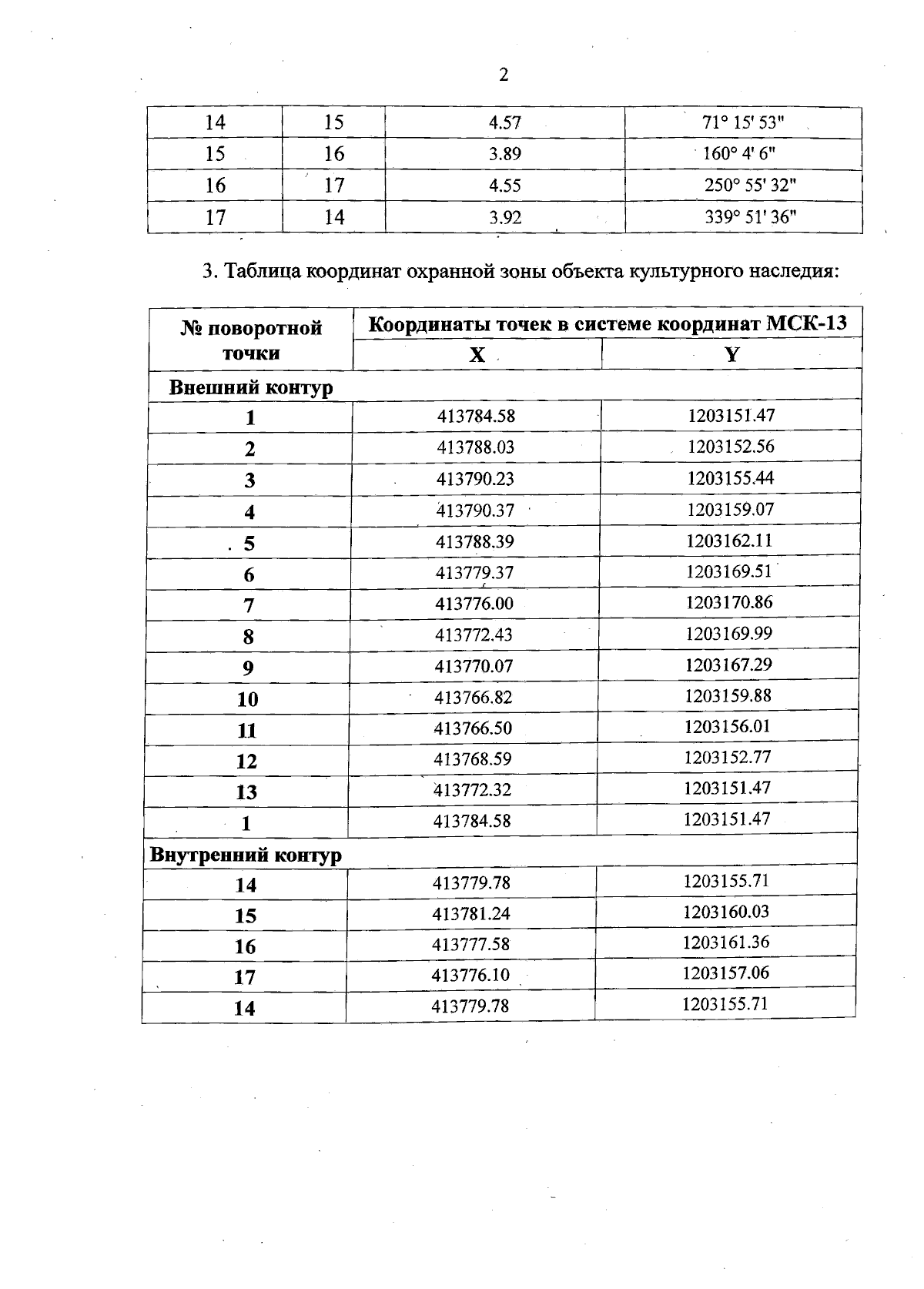
Приказ Министерства культуры, национальной политики и архивного дела Республики Мордовия от 19.01.2026 № 7
"Об утверждении зон охраны, режима использования земель и земельных участков и требований к градостроительным регламентам в границах территории зон охраны объекта культурного наследия регионального значения "Памятник И.В. Мичурину"
(Зарегистрирован 19.01.2026 № 042026001)
Номер опубликования: 1301202601200001
Дата опубликования: 20.01.2026
Страница №4 из 7:
Увеличить