Официальное опубликование правовых актов
ОФИЦИАЛЬНОЕ ОПУБЛИКОВАНИЕ
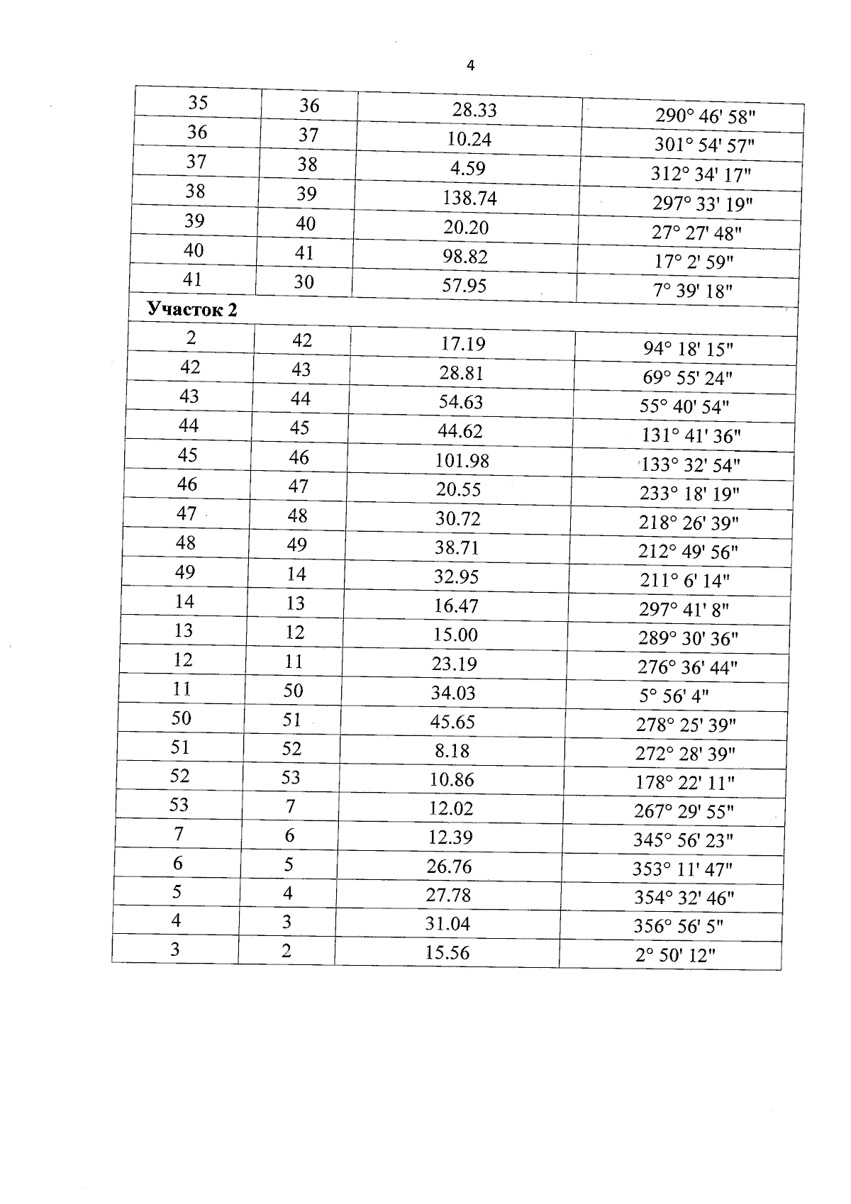
Приказ Министерства культуры, национальной политики и архивного дела Республики Мордовия от 11.03.2026 № 90
"Об утверждении зон охраны, режимов использования земель и земельных участков и требований к градостроительным регламентам в границах территории зон охраны объекта культурного наследия федерального значения "Успенская церковь", расположенного по адресу: Республика Мордовия, Торбеевский район, с. Никольское, ул. Центральная, 10"
(Зарегистрирован 11.03.2026 № 042026009)
Номер опубликования: 1301202603120002
Дата опубликования: 12.03.2026
Страница №6 из 13:
Увеличить