Официальное опубликование правовых актов
ОФИЦИАЛЬНОЕ ОПУБЛИКОВАНИЕ
Приказ Министерства культуры, национальной политики и архивного дела Республики Мордовия от 11.03.2026 № 85
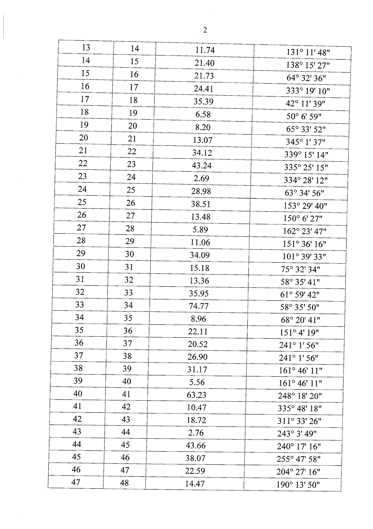
"Об утверждении зон охраны, режимов использования земель и земельных участков и требований к градостроительным регламентам в границах территории зон охраны объекта культурного наследия федерального значения "Ансамбль Спасо-Преображенского монастыря", расположенного по адресу: Республика Мордовия, Краснослободский район, п. Преображенский, ул. Спасо-Преображенский монастырь"
(Зарегистрирован 11.03.2026 № 042026004)
Номер опубликования: 1301202603120011
Дата опубликования: 12.03.2026
Страница №4 из 20:
Увеличить