Официальное опубликование правовых актов
ОФИЦИАЛЬНОЕ ОПУБЛИКОВАНИЕ
Приказ Министерства культуры, национальной политики и архивного дела Республики Мордовия от 11.03.2026 № 86
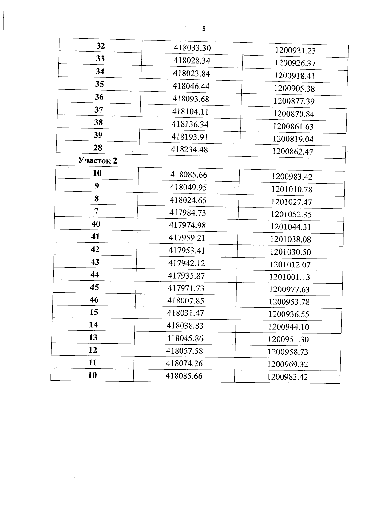
"Об утверждении зон охраны, режимов использования земель и земельных участков и требований к градостроительным регламентам в границах территории зон охраны объекта культурного наследия федерального значения "Дом Севостьянова", расположенного по адресу: Республика Мордовия, Краснослободский район, пл. Советская, 9"
(Зарегистрирован 11.03.2026 № 042026005)
Номер опубликования: 1301202603120012
Дата опубликования: 12.03.2026
Страница №7 из 11:
Увеличить