Официальное опубликование правовых актов
ОФИЦИАЛЬНОЕ ОПУБЛИКОВАНИЕ
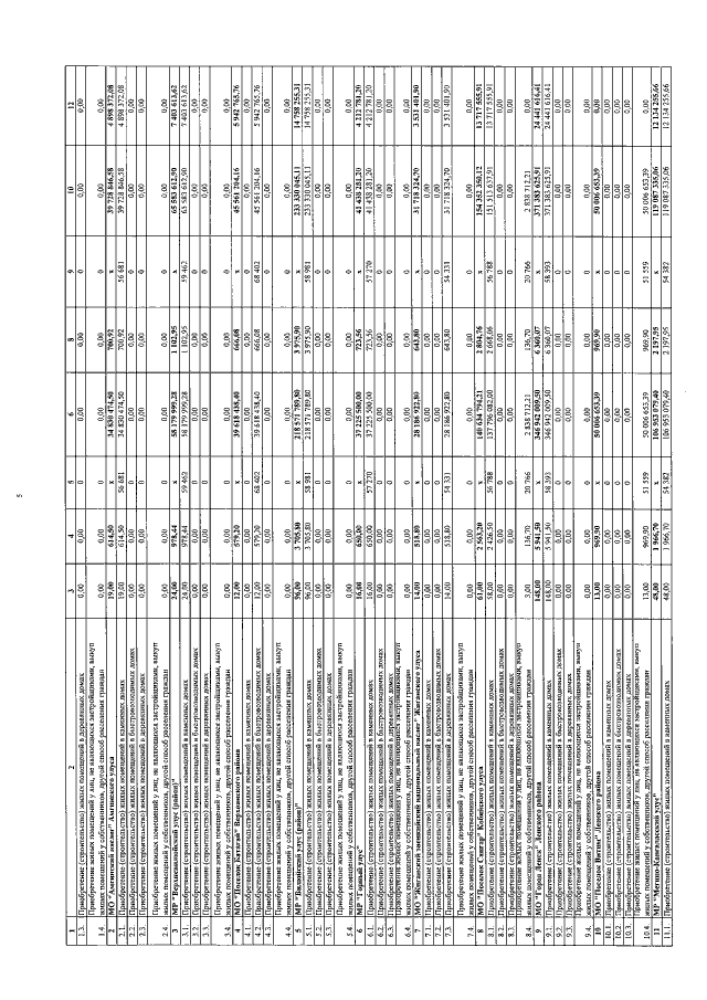
Постановление Правительства Республики Саха (Якутия) от 11.02.2016 № 33
"О внесении изменений в республиканскую адресную программу "Переселение граждан из аварийного жилищного фонда с учетом необходимости развития малоэтажного жилищного строительства на 2013 – 2015 годы", утвержденную постановлением Правительства Республики Саха (Якутия) от 04 июня 2013 г. № 186"
Номер опубликования: 1400201602120003
Дата опубликования: 12.02.2016
Страница №9 из 47:
Увеличить