Официальное опубликование правовых актов
ОФИЦИАЛЬНОЕ ОПУБЛИКОВАНИЕ
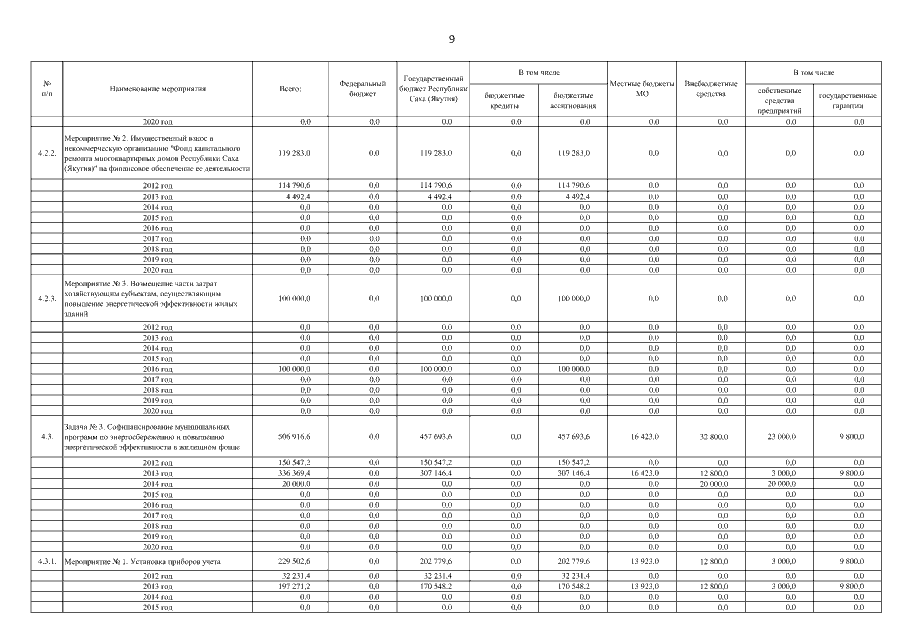
Указ Главы Республики Саха (Якутия) от 03.06.2016 № 1185 "О внесении изменений в Указ Президента Республики Саха (Якутия) от 12 октября 2011 г. № 971 "О государственной программе Республики Саха (Якутия) “Энергоэффективная экономика на 2012-2017 годы и на период до 2020 года”"
Номер опубликования: 1400201606080001
Дата опубликования: 08.06.2016
Страница №33 из 85:
Увеличить