Официальное опубликование правовых актов
ОФИЦИАЛЬНОЕ ОПУБЛИКОВАНИЕ
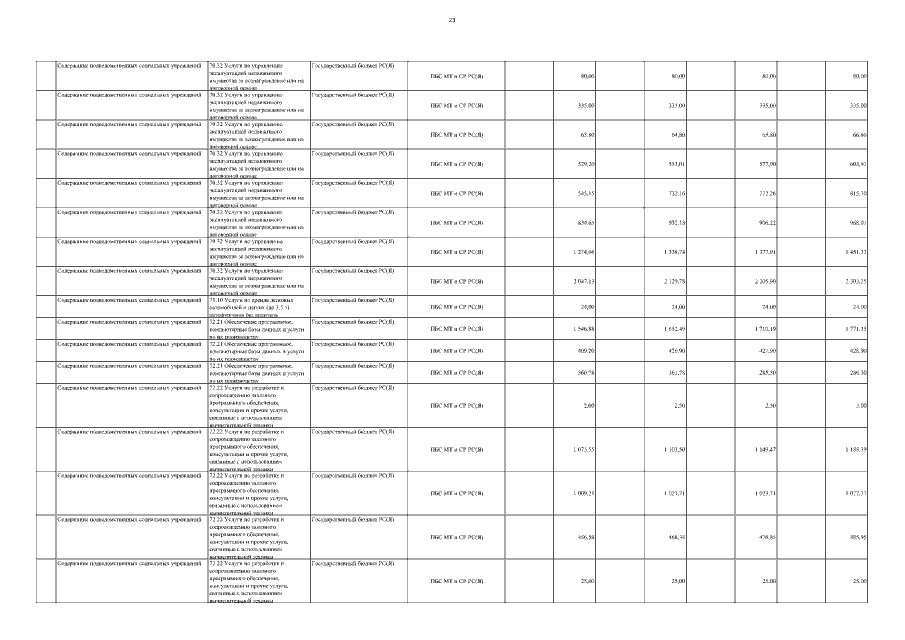
Указ Главы Республики Саха (Якутия) от 14.06.2016 № 1203 "О внесении изменений в Указ Президента Республики Саха (Якутия) от 12 октября 2011 г. № 976 "О государственной программе Республики Саха (Якутия) “Социальная поддержка граждан в Республике Саха (Якутия) на 2012 - 2019 годы”"
Номер опубликования: 1400201606170006
Дата опубликования: 17.06.2016
Страница №114 из 123:
Увеличить