Официальное опубликование правовых актов
ОФИЦИАЛЬНОЕ ОПУБЛИКОВАНИЕ
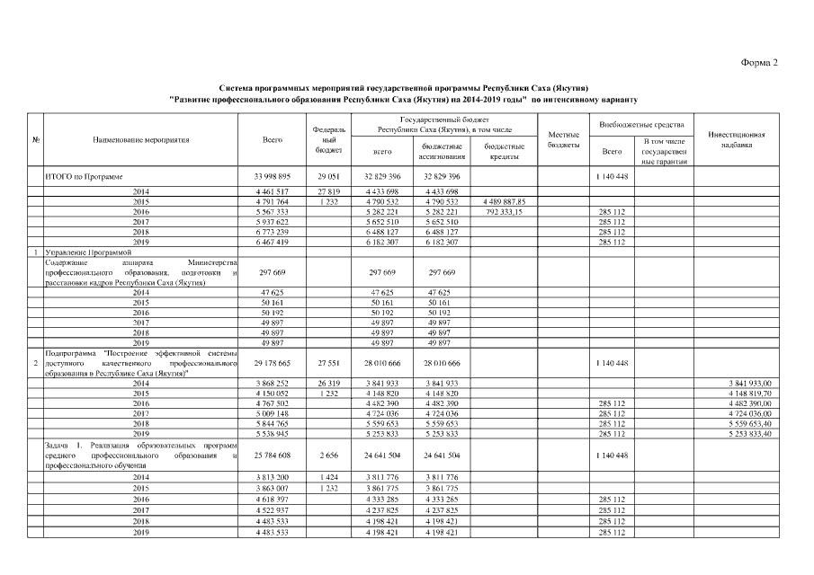
Указ Главы Республики Саха (Якутия) от 20.06.2016 № 1218 "О внесении изменений в Указ Президента Республики Саха (Якутия) от 31 декабря 2013 г. № 2443 "О государственной программе Республики Саха (Якутия) "Развитие профессионального образования Республики Саха (Якутия) на 2014-2019 годы""
Номер опубликования: 1400201606220002
Дата опубликования: 22.06.2016
Страница №47 из 87:
Увеличить