Официальное опубликование правовых актов
ОФИЦИАЛЬНОЕ ОПУБЛИКОВАНИЕ
Указ Главы Республики Саха (Якутия) от 22.11.2017 № 2215
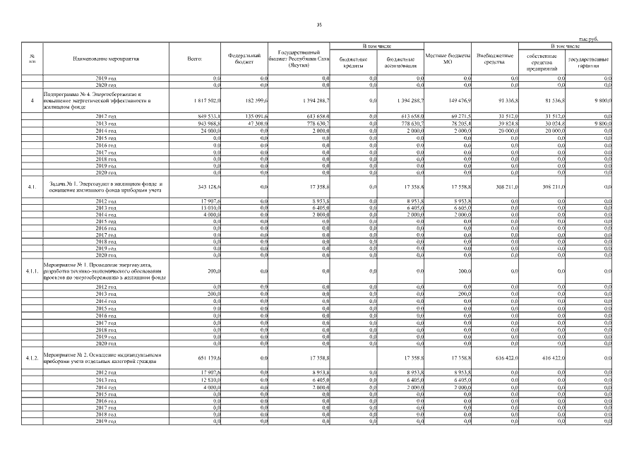
"О внесении изменений в государственную программу Республики Саха (Якутия) "Энергоэффективная экономика на 2012-2019 годы и на период до 2020 года", утвержденную Указом Президента Республики Саха (Якутия) от 12 октября 2011 г. № 971"
Номер опубликования: 1400201711230004
Дата опубликования: 23.11.2017
Страница №59 из 87:
Увеличить