Официальное опубликование правовых актов
ОФИЦИАЛЬНОЕ ОПУБЛИКОВАНИЕ
Указ Главы Республики Саха (Якутия) от 15.12.2017 № 2280
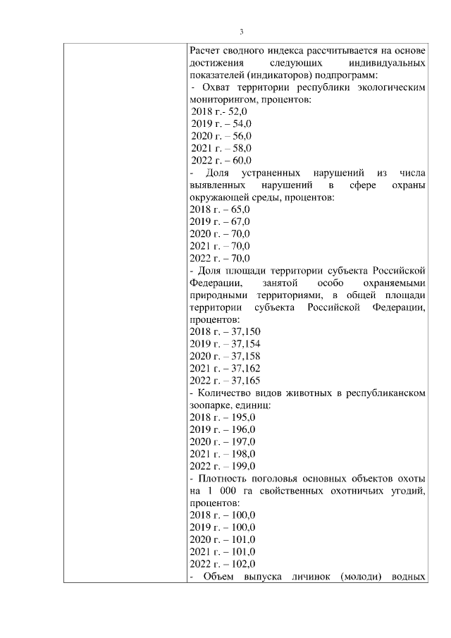
"О государственной программе Республики Саха (Якутия) "Охрана окружающей среды и природных ресурсов Республики Саха (Якутия) на 2018 - 2022 годы"
Номер опубликования: 1400201712210008
Дата опубликования: 21.12.2017
Страница №7 из 102:
Увеличить