Официальное опубликование правовых актов
ОФИЦИАЛЬНОЕ ОПУБЛИКОВАНИЕ
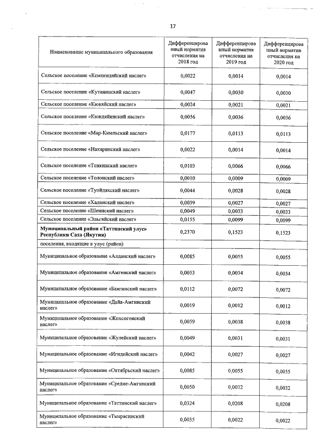
Закон Республики Саха (Якутия) от 20.12.2017 1925-З № 1429-V
"О государственном бюджете Республики Саха (Якутия)на 2018 год и на плановый период 2019 и 2020 годов"
Номер опубликования: 1400201712260010
Дата опубликования: 26.12.2017
Страница №53 из 256:
Увеличить