Официальное опубликование правовых актов
ОФИЦИАЛЬНОЕ ОПУБЛИКОВАНИЕ
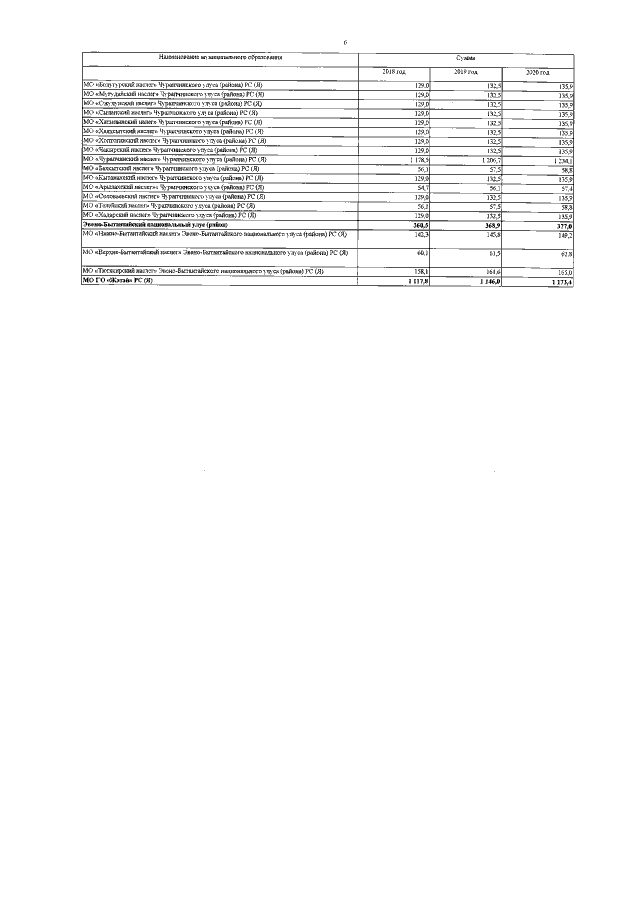
Закон Республики Саха (Якутия) от 03.07.2018 2021-З № 1595-V
"О внесении изменений в Закон Республики Саха (Якутия) “О государственном бюджете Республики Саха (Якутия) на 2018 год и на плановый период 2019 и 2020 годов”"
Номер опубликования: 1400201807160020
Дата опубликования: 16.07.2018
Страница №187 из 198:
Увеличить