Официальное опубликование правовых актов
ОФИЦИАЛЬНОЕ ОПУБЛИКОВАНИЕ
Постановление Правительства Республики Саха (Якутия) от 23.11.2023 № 558
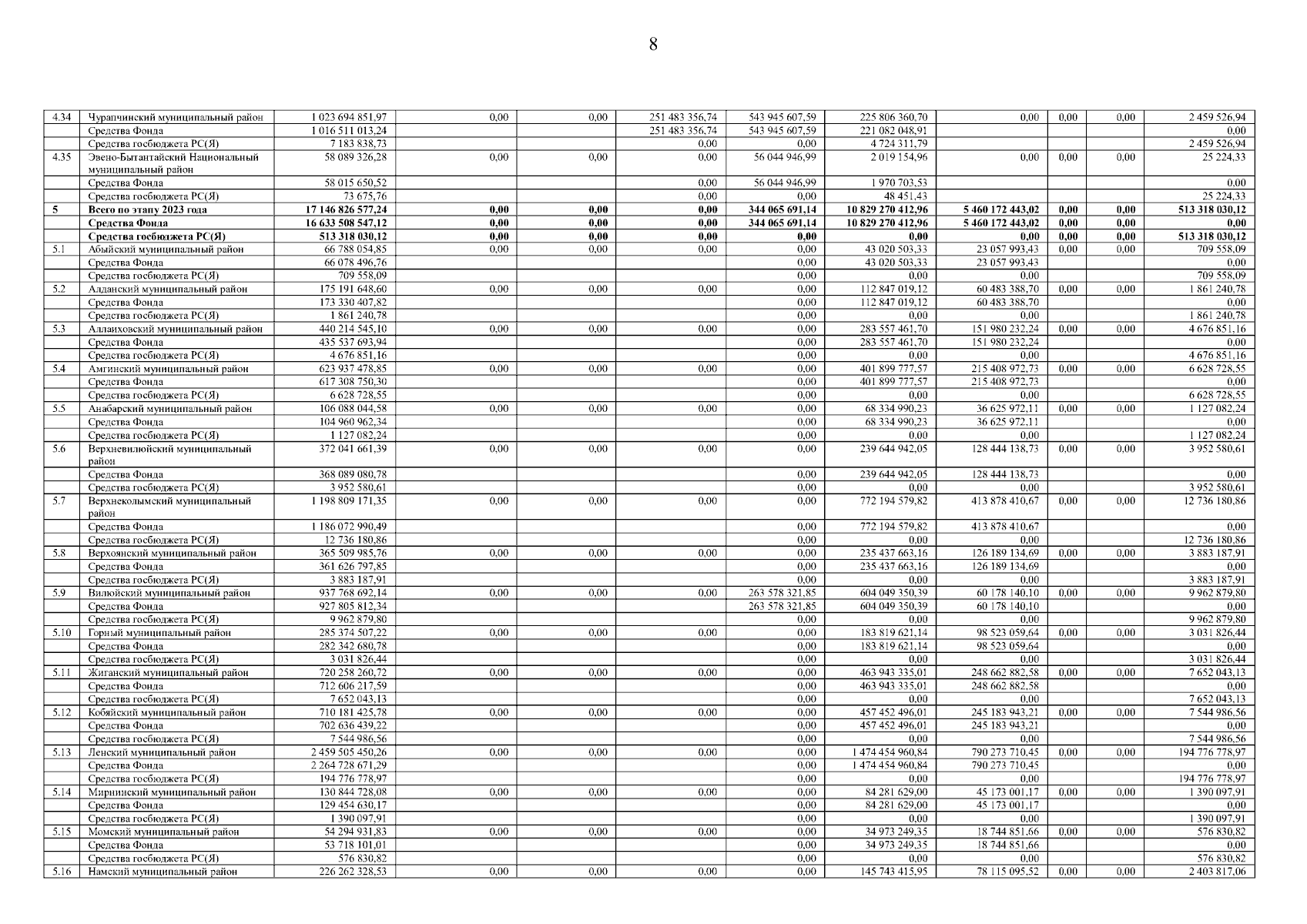
"О внесении изменений в постановление Правительства Республики Саха (Якутия) от 27 марта 2019 г. № 50 "О республиканской адресной программе "Переселение граждан из аварийного жилищного фонда на 2019 - 2025 годы"
Номер опубликования: 1400202311270007
Дата опубликования: 27.11.2023
Страница №159 из 162:
Увеличить