Официальное опубликование правовых актов
ОФИЦИАЛЬНОЕ ОПУБЛИКОВАНИЕ
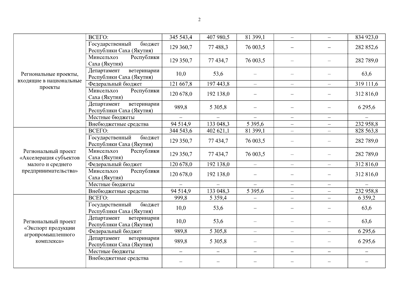
Постановление Правительства Республики Саха (Якутия) от 23.01.2024 № 18
"О внесении изменений в постановление Правительства Республики Саха (Якутия) от 18 июля 2022 г. № 447 "О государственной программе Республики Саха (Якутия) "Развитие сельского хозяйства и регулирование рынков сельскохозяйственной продукции, сырья и продовольствия"
Номер опубликования: 1400202401260003
Дата опубликования: 26.01.2024
Страница №7 из 20:
Увеличить