Официальное опубликование правовых актов
ОФИЦИАЛЬНОЕ ОПУБЛИКОВАНИЕ
Постановление Правительства Республики Саха (Якутия) от 24.09.2025 № 387
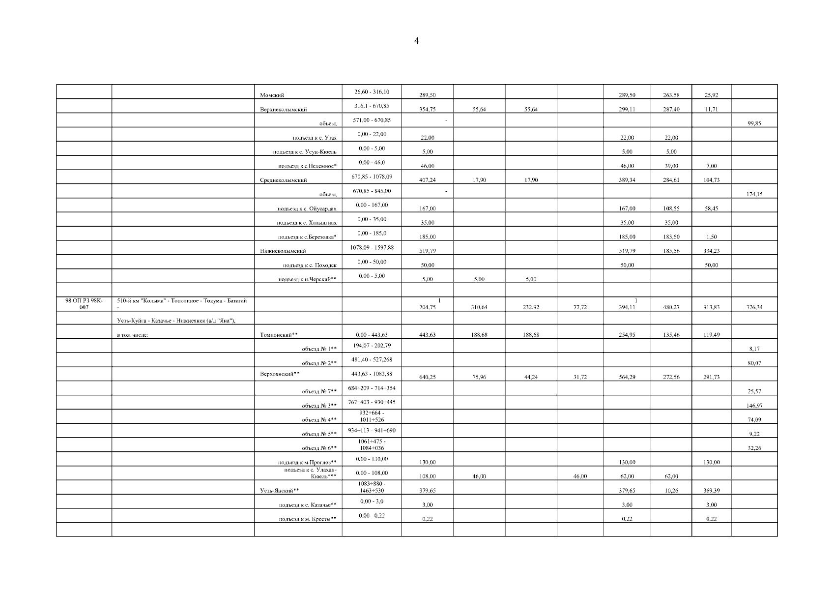
"О внесении изменений в постановление Правительства Республики Саха (Якутия) от 27 марта 2010 г. № 146 "Об утверждении перечня автомобильных дорог общего пользования регионального или межмуниципального значения Республики Саха (Якутия)"
Номер опубликования: 1400202509260003
Дата опубликования: 26.09.2025
Страница №4 из 16:
Увеличить