Официальное опубликование правовых актов
ОФИЦИАЛЬНОЕ ОПУБЛИКОВАНИЕ
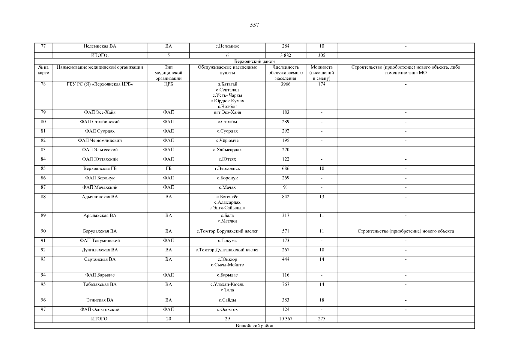
Постановление Правительства Республики Саха (Якутия) от 14.01.2026 № 12
"Об утверждении региональной программы модернизации первичного звена здравоохранения Республики Саха (Якутия) на 2021 – 2030 годы"
Номер опубликования: 1400202601160002
Дата опубликования: 16.01.2026
Страница №559 из 817:
Увеличить