Официальное опубликование правовых актов
ОФИЦИАЛЬНОЕ ОПУБЛИКОВАНИЕ
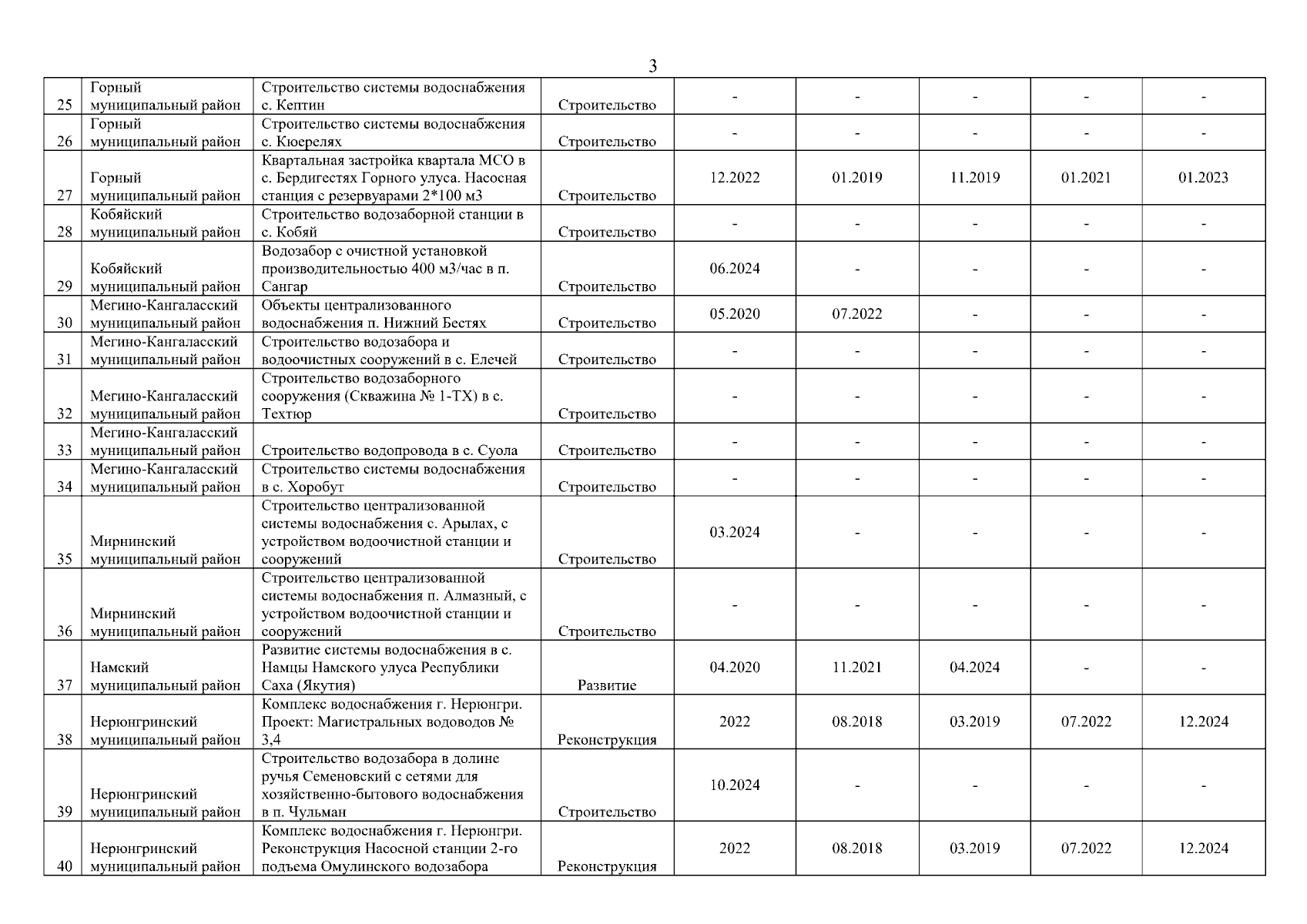
Постановление Правительства Республики Саха (Якутия) от 09.02.2026 № 41
"О внесении изменений в региональную программу Республики Саха (Якутия) "Чистая вода" на 2019 – 2024 годы, утвержденную постановлением Правительства Республики Саха (Якутия) от 31 июля 2019 г. № 211"
Номер опубликования: 1400202602110003
Дата опубликования: 11.02.2026
Страница №64 из 82:
Увеличить