Официальное опубликование правовых актов
ОФИЦИАЛЬНОЕ ОПУБЛИКОВАНИЕ
Постановление Правительства Республики Саха (Якутия) от 06.03.2026 № 79
"О внесении изменений в постановление Правительства Республики Саха (Якутия) от 25 декабря 2018 г. № 358 "О создании особо охраняемых природных территорий республиканского значения памятников природы (Айыл5а Мэнэлэрэ) "Бачык", "Кетеме", "Еланка" в Хангаласском улусе и "Титириктях" в Олекминском районе Республики Саха (Якутия)"
Номер опубликования: 1400202603110001
Дата опубликования: 11.03.2026
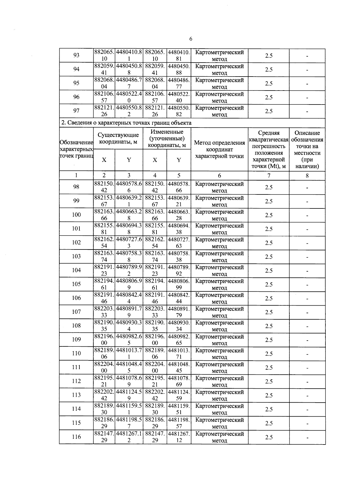
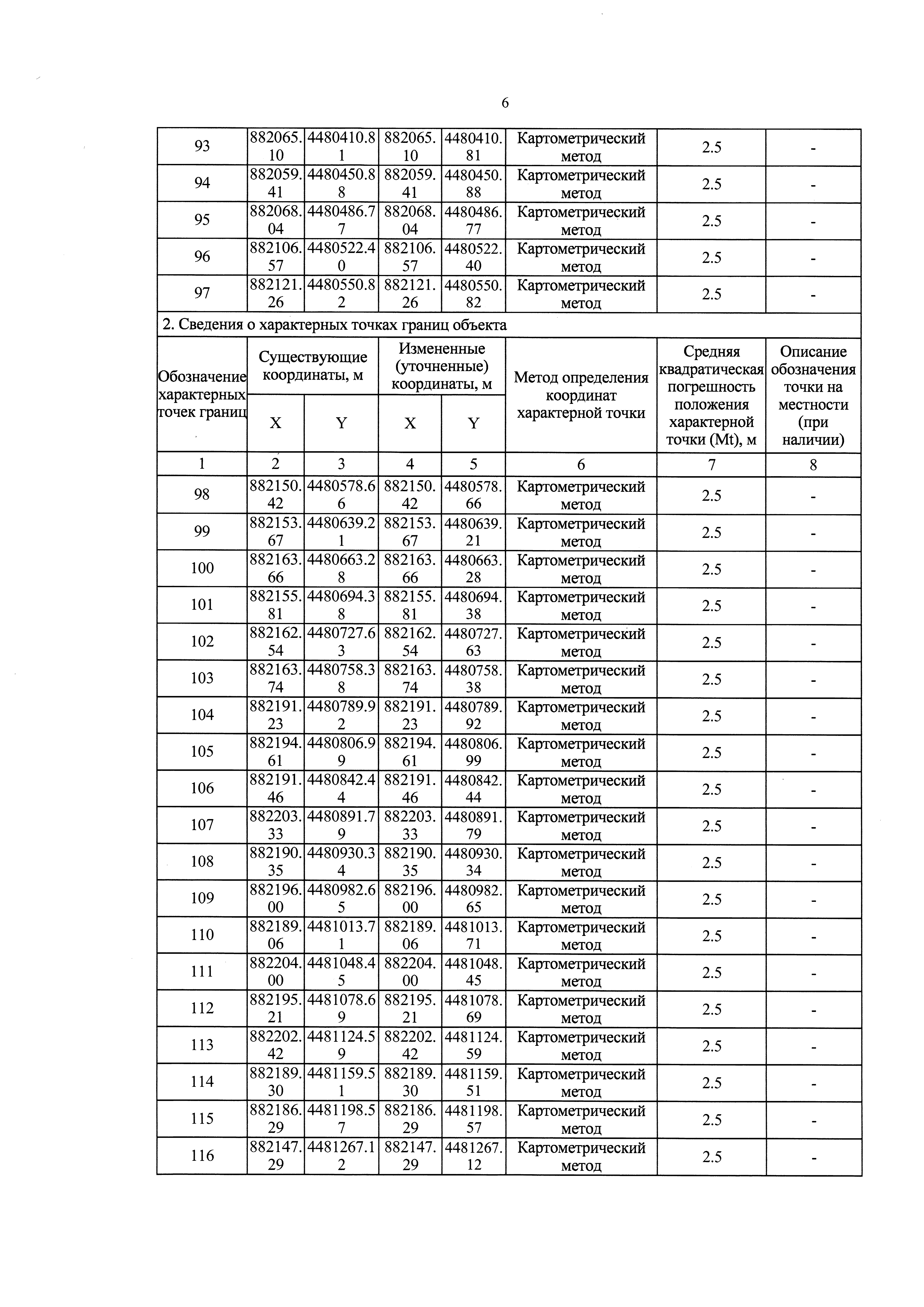
Страница №11 из 27: