Официальное опубликование правовых актов
ОФИЦИАЛЬНОЕ ОПУБЛИКОВАНИЕ
Постановление Правительства Республики Саха (Якутия) от 16.04.2026 № 132
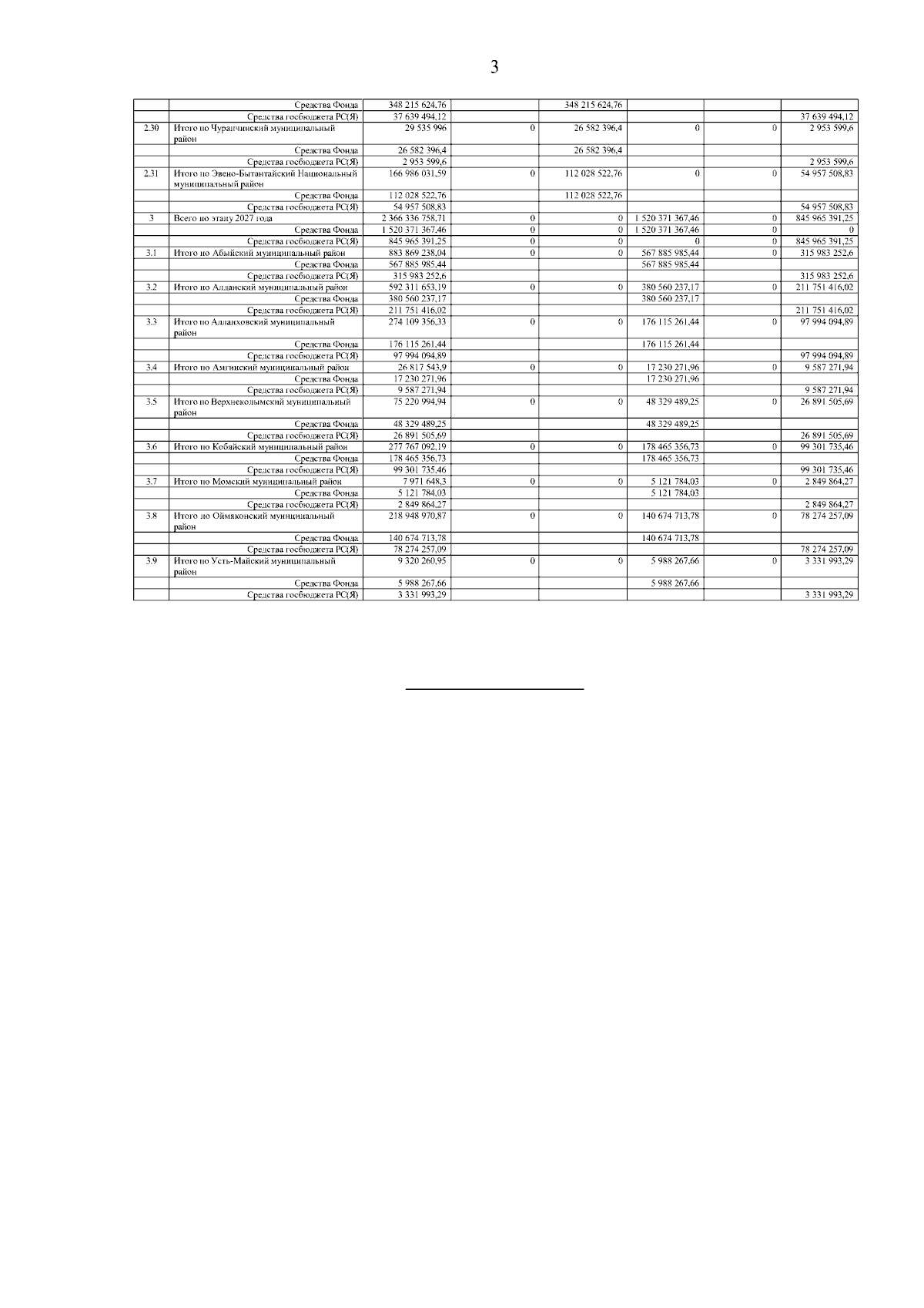
"О внесении изменений в постановление Правительства Республики Саха (Якутия) от 26 сентября 2025 г. № 392 "О республиканской адресной программе "Переселение граждан из аварийного жилищного фонда, признанного таковым после 1 января 2017 года"
Номер опубликования: 1400202604200002
Дата опубликования: 20.04.2026
Страница №48 из 48:
Увеличить