Официальное опубликование правовых актов
ОФИЦИАЛЬНОЕ ОПУБЛИКОВАНИЕ
Приказ Министерства имущественных и земельных отношений Республики Саха (Якутия) от 14.05.2018 № П-14-120
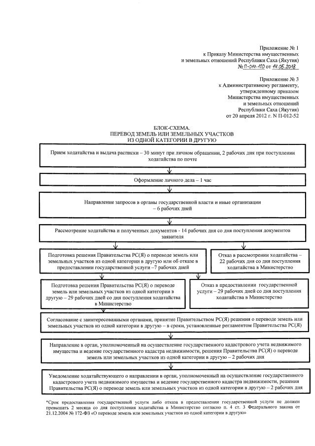
"О внесении изменений в Административный регламент предоставления Министерством имущественных и земельных отношений Республики Саха (Якутия) государственной услуги "Перевод земель или земельных участков из одной категории в другую", утвержденный приказом Министерства имущественных и земельных отношений Республики Саха (Якутия) от 20.04.2012 № П-012-52"
(Зарегистрирован 01.06.2018 № RU140112018231)
Номер опубликования: 1401201806060003
Дата опубликования: 06.06.2018
Страница №6 из 6:
Увеличить