Официальное опубликование правовых актов
ОФИЦИАЛЬНОЕ ОПУБЛИКОВАНИЕ
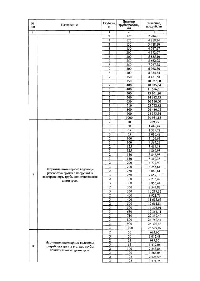
Постановление Государственного комитета по ценовой политике Республики Саха (Якутия) от 18.12.2018 № 194
"Об установлении ставок тарифов на подключение (технологическое присоединение) к централизованным системам холодного водоснабжения и водоотведения АО "Водоканал" на 2019 год"
(Зарегистрирован 20.12.2018 № RU140202018124)
Номер опубликования: 1401201812240022
Дата опубликования: 24.12.2018
Страница №6 из 14:
Увеличить