Официальное опубликование правовых актов
ОФИЦИАЛЬНОЕ ОПУБЛИКОВАНИЕ
Приказ Министерства экологии, природопользования и лесного хозяйства Республики Саха (Якутия) от 30.08.2024 № 01-05/1-706
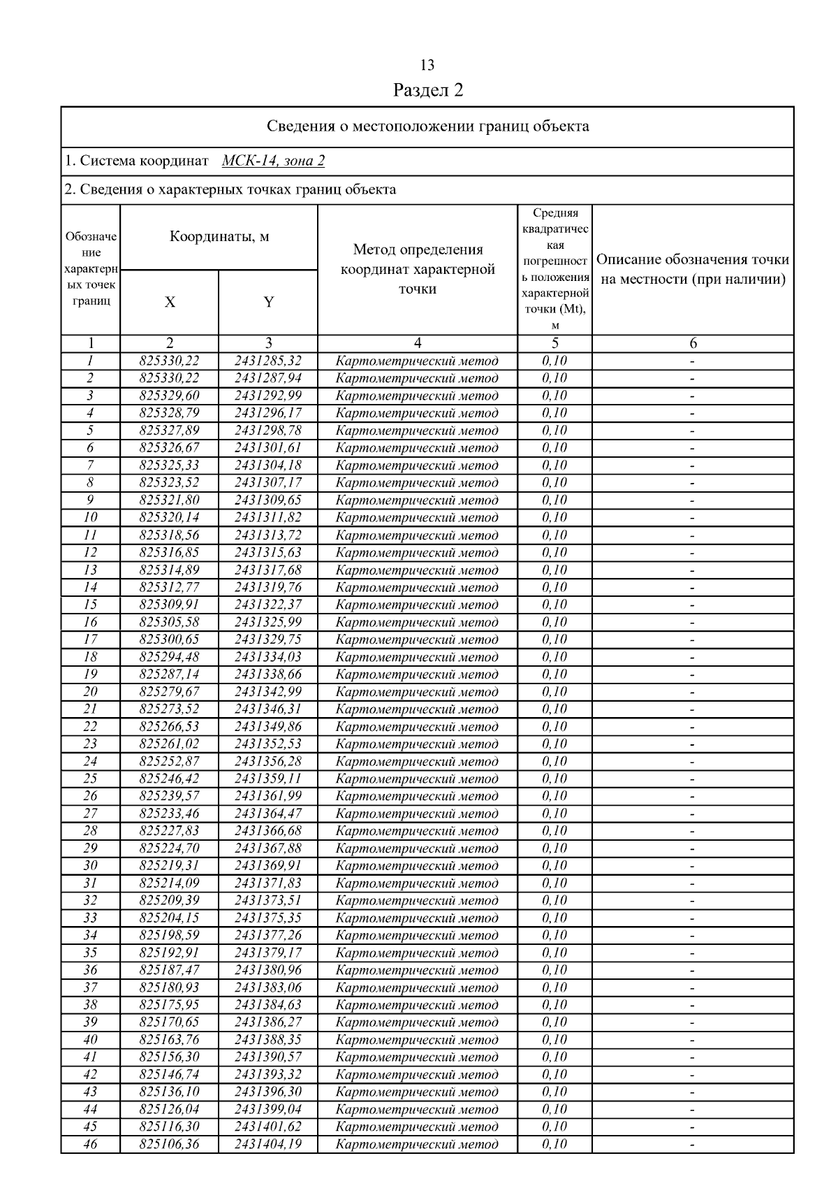
"Об установлении границ зон санитарной охраны для водозаборной скважины №Р4 "Разведчик" Вилюйского филиала АО "Теплоэнергосервис". Республика Саха (Якутия), Ленский район, г. Ленск, мкр. Разведчик"
(Зарегистрирован 10.09.2024 № RU1401420222071)
Номер опубликования: 1401202409110001
Дата опубликования: 11.09.2024
Страница №13 из 28:
Увеличить