Официальное опубликование правовых актов
ОФИЦИАЛЬНОЕ ОПУБЛИКОВАНИЕ
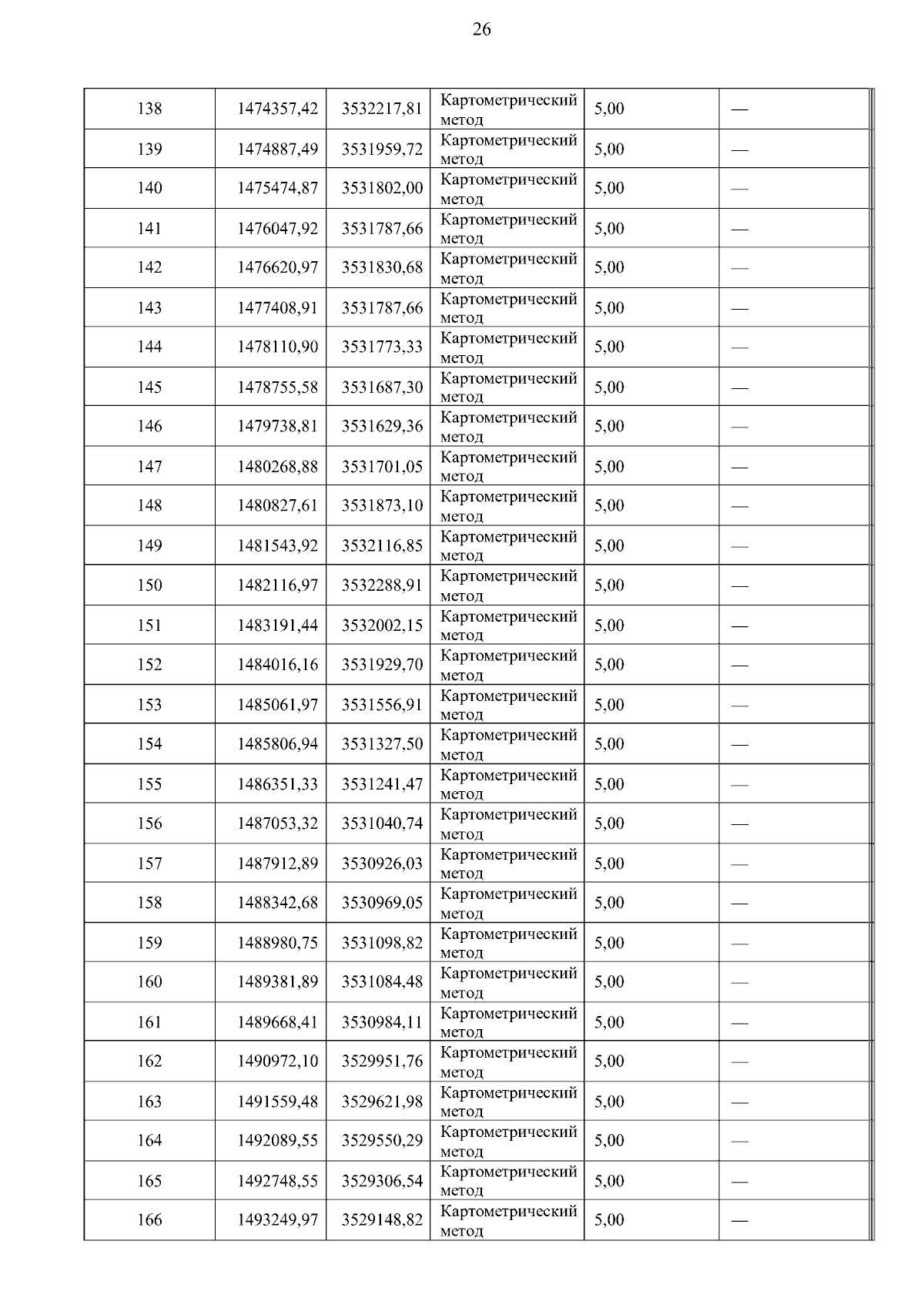
Приказ Министерства экологии, природопользования и лесного хозяйства Республики Саха (Якутия) от 23.10.2024 № 01-05/1-845
"Об установлении границ зон санитарной охраны водопроводных сооружений и водозабора №1 на р. Лена для хозяйственно-бытового водоснабжения населения с. Жиганск. Республика Саха (Якутия), Жиганский улус, с. Жиганск"
(Зарегистрирован 30.10.2024 № RU1401420222140)
Номер опубликования: 1401202410300001
Дата опубликования: 30.10.2024
Страница №26 из 32:
Увеличить