Официальное опубликование правовых актов
ОФИЦИАЛЬНОЕ ОПУБЛИКОВАНИЕ
Приказ Министерства экологии, природопользования и лесного хозяйства Республики Саха (Якутия) от 20.10.2025 № 01-05/1-701
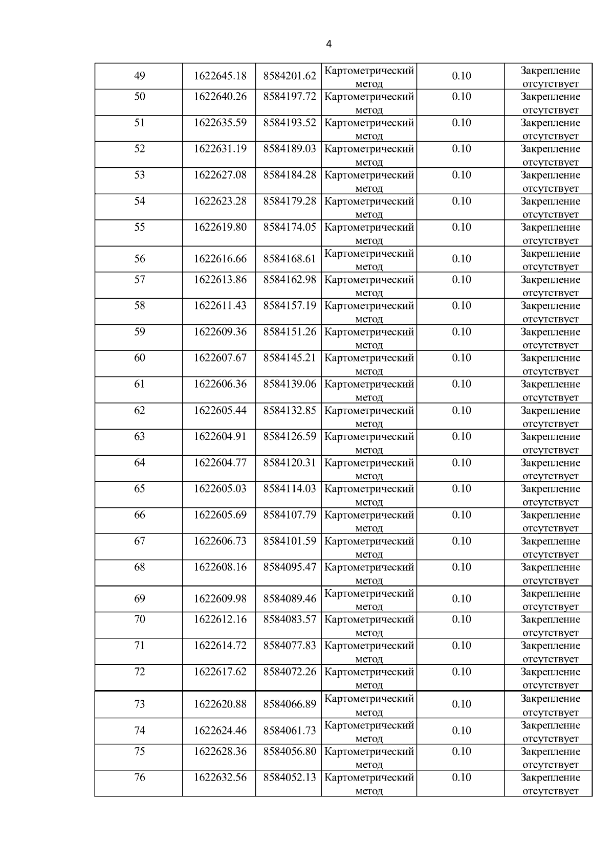
"Об установлении границ зон санитарной охраны (ЗСО) водозаборного участка на оз. Кубалах для питьевого и хозяйственно-бытового водоснабжения с. Сылгы-Ытар Муниципального образования "Мятисский 1-й наслег" Среднеколымского улуса (района) Республики Саха (Якутия)"
(Зарегистрирован 29.10.2025 № RU1401420222751)
Номер опубликования: 1401202510290001
Дата опубликования: 29.10.2025
Страница №6 из 20:
Увеличить