Официальное опубликование правовых актов
ОФИЦИАЛЬНОЕ ОПУБЛИКОВАНИЕ
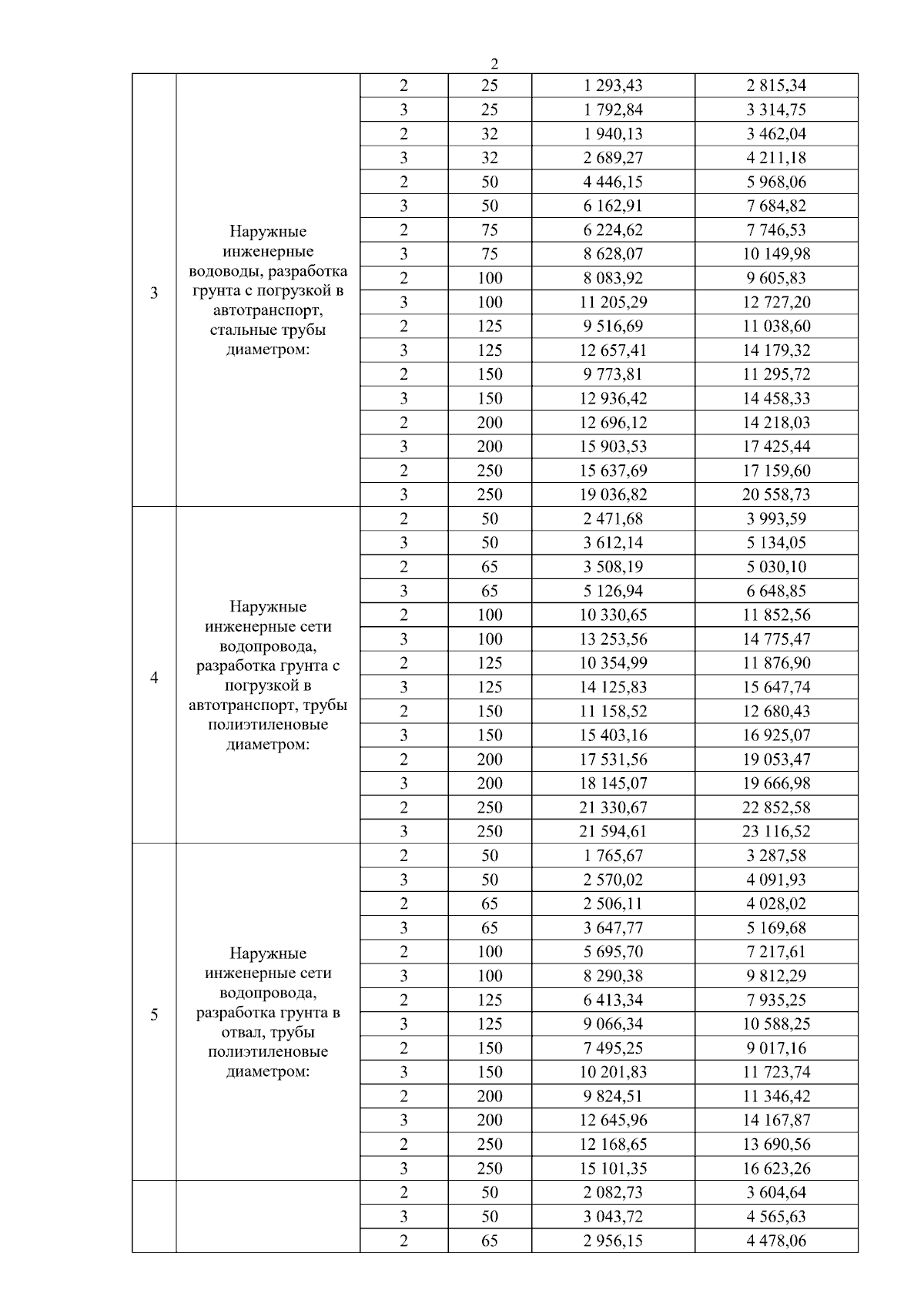
Постановление Государственного комитета по ценовой политике Республики Саха (Якутия) от 12.12.2025 № 222
"Об установлении ставок тарифов на подключение (технологическое присоединение) к централизованным системам холодного, горячего водоснабжения и водоотведения АО "ДГК" СП "Нерюнгринская ГРЭС" на 2026 год"
(Зарегистрирован 17.12.2025 № RU1401420222851)
Номер опубликования: 1401202512220005
Дата опубликования: 22.12.2025
Страница №5 из 10:
Увеличить