Официальное опубликование правовых актов
ОФИЦИАЛЬНОЕ ОПУБЛИКОВАНИЕ
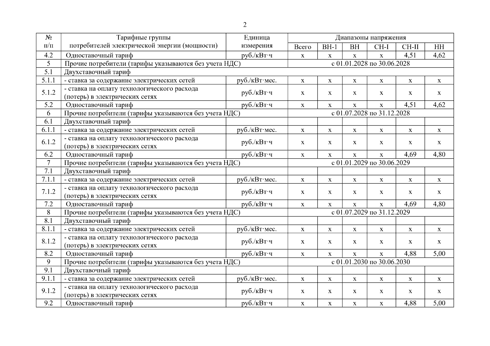
Постановление Государственного комитета по ценовой политике Республики Саха (Якутия) от 15.12.2025 № 244
"Об установлении тарифов на услуги по передаче электрической энергии (мощности) по сетям АО "Сахаэнерго", поставляемой прочим потребителям и долгосрочных параметров регулирования тарифов на 2026-2030 годы"
(Зарегистрирован 23.12.2025 № RU1401420222897)
Номер опубликования: 1401202512240009
Дата опубликования: 24.12.2025
Страница №4 из 7:
Увеличить