Официальное опубликование правовых актов
ОФИЦИАЛЬНОЕ ОПУБЛИКОВАНИЕ
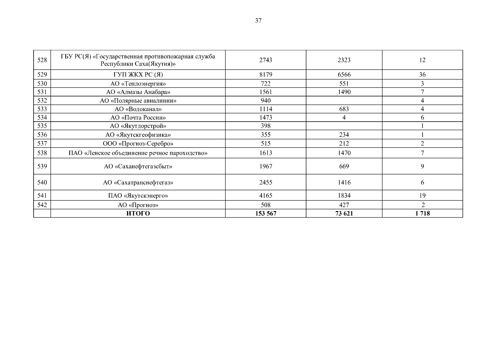
Приказ Государственного комитета Республики Саха (Якутия) по занятости населения от 20.02.2026 № ОД-65
"О распределении квоты организациям - работодателям Республики Саха (Якутия) на 2026 год"
(Зарегистрирован 05.03.2026 № RU1401420223041)
Номер опубликования: 1401202603050014
Дата опубликования: 05.03.2026
Страница №47 из 81:
Увеличить