Официальное опубликование правовых актов
ОФИЦИАЛЬНОЕ ОПУБЛИКОВАНИЕ
Приказ Министерства экологии, природопользования и лесного хозяйства Республики Саха (Якутия) от 02.03.2026 № 01-05/1-114
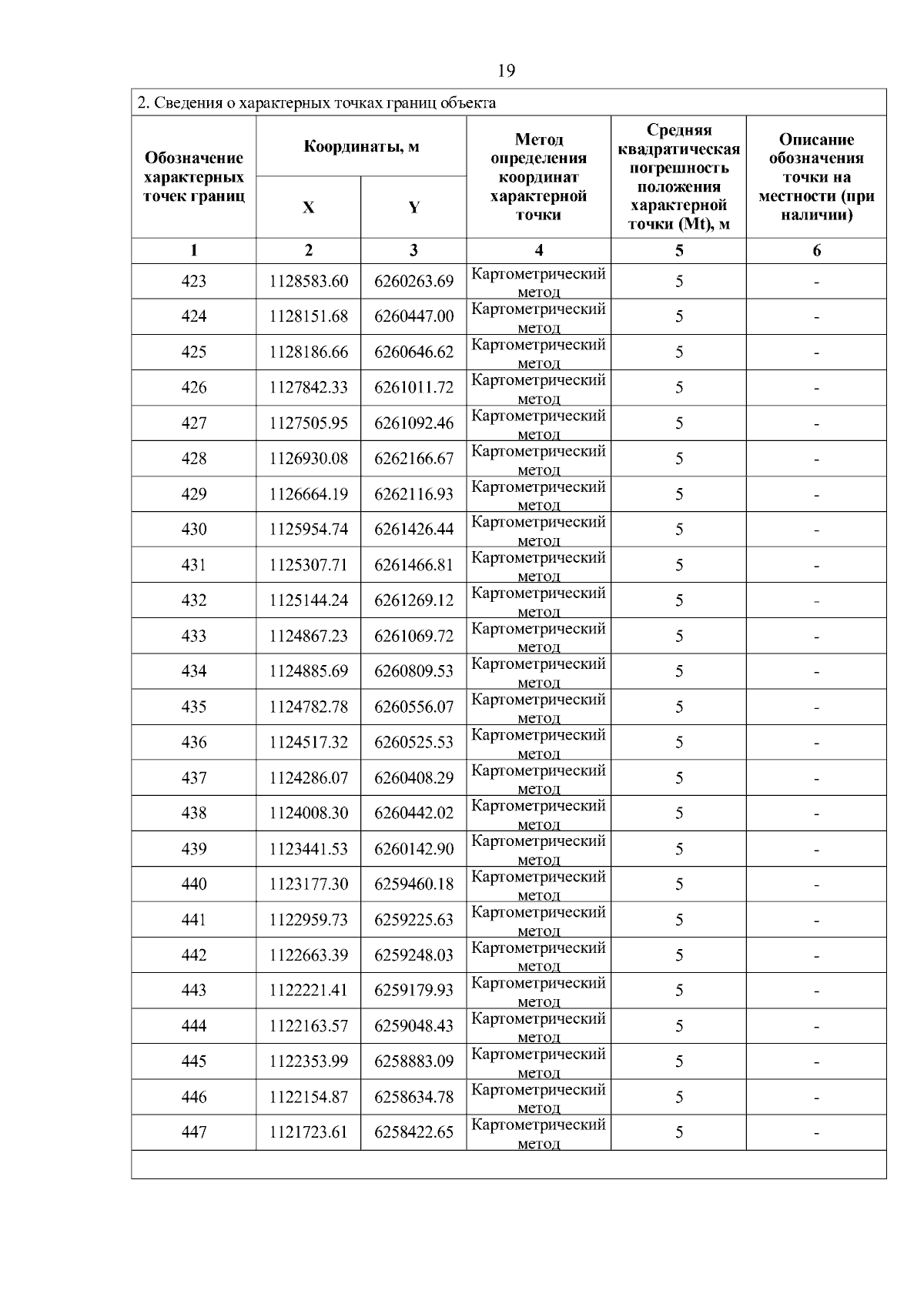
"Об утверждении графического описания границ государственного природного заказника "Тукулан"
(Зарегистрирован 13.03.2026 № RU1401420223046)
Номер опубликования: 1401202603170003
Дата опубликования: 17.03.2026
Страница №20 из 59:
Увеличить