Официальное опубликование правовых актов
ОФИЦИАЛЬНОЕ ОПУБЛИКОВАНИЕ
Приказ Министерства экологии, природопользования и лесного хозяйства Республики Саха (Якутия) от 12.03.2026 № 01-05/1-137
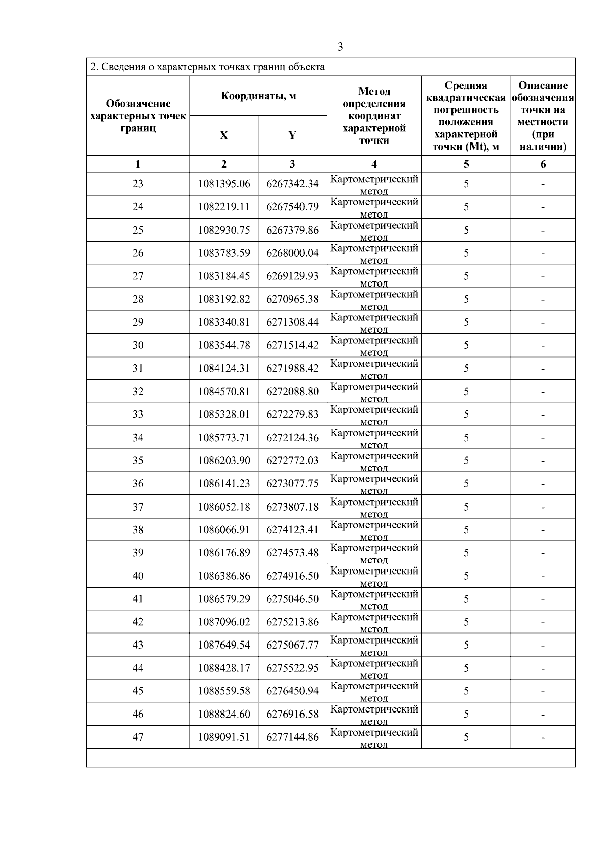
"Об утверждении графического описания границ государственного природного заказника "Томпорук"
(Зарегистрирован 23.03.2026 № RU1401420223053)
Номер опубликования: 1401202603230001
Дата опубликования: 23.03.2026
Страница №4 из 27:
Увеличить