Официальное опубликование правовых актов
ОФИЦИАЛЬНОЕ ОПУБЛИКОВАНИЕ
Приказ Министерства экологии, природопользования и лесного хозяйства Республики Саха (Якутия) от 12.03.2026 № 01-05/1-136
"Об утверждении графического описания границ государственного природного заказника "Пилька"
(Зарегистрирован 23.03.2026 № RU1401420223054)
Номер опубликования: 1401202603250001
Дата опубликования: 25.03.2026
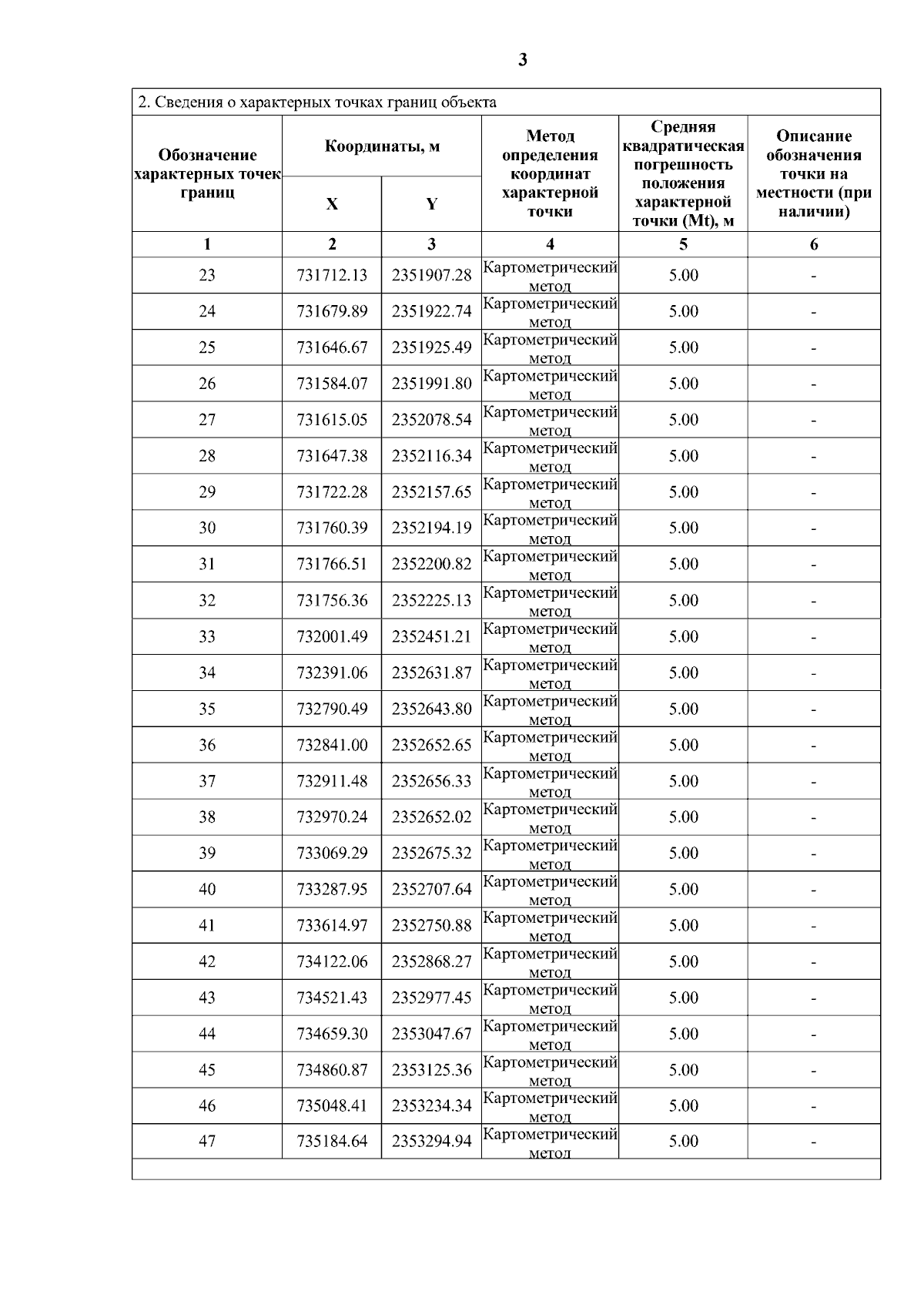
Страница №4 из 33:
Увеличить