Официальное опубликование правовых актов
ОФИЦИАЛЬНОЕ ОПУБЛИКОВАНИЕ
Приказ Министерства экологии, природопользования и лесного хозяйства Республики Саха (Якутия) от 16.03.2026 № 01-05/1-147
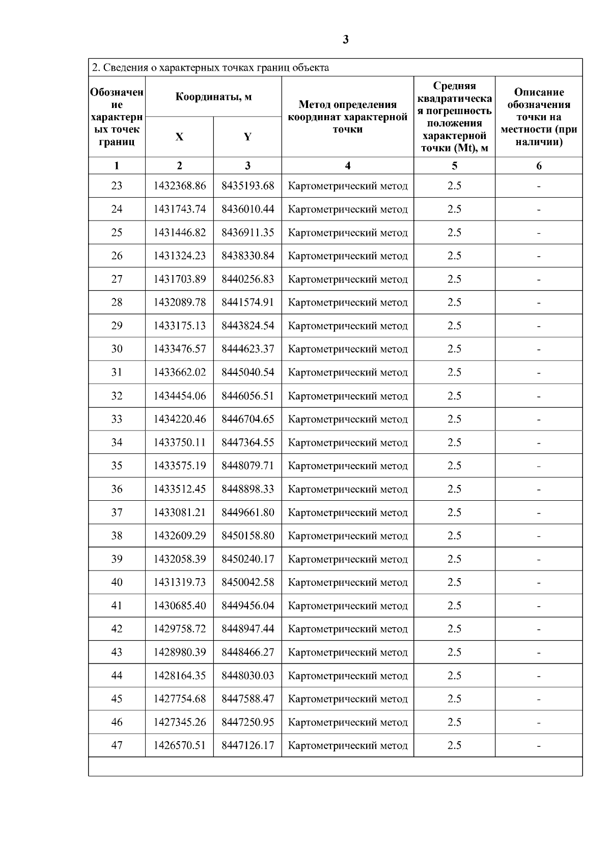
"Об утверждении графического описания границ государственного природного заказника "Сылгы-Ытар"
(Зарегистрирован 23.03.2026 № RU1401420223055)
Номер опубликования: 1401202603250003
Дата опубликования: 25.03.2026
Страница №4 из 10:
Увеличить