Официальное опубликование правовых актов
ОФИЦИАЛЬНОЕ ОПУБЛИКОВАНИЕ
Приказ Министерства экологии, природопользования и лесного хозяйства Республики Саха (Якутия) от 12.03.2026 № 01-05/1-135
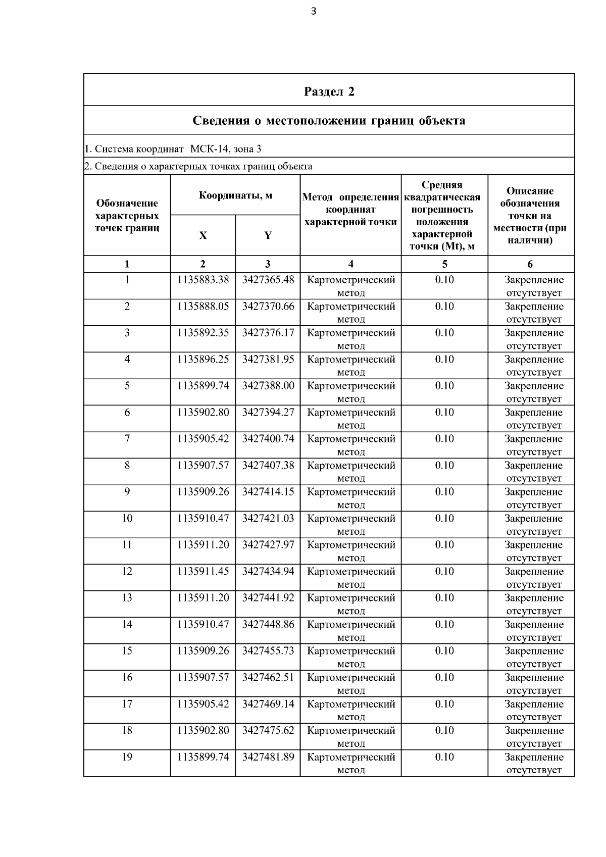
"Об установлении границ зон санитарной охраны (ЗСО) водозаборного участка на о. Харбалах для питьевого и хозяйственно-бытового водоснабжения с. Кюль муниципального образования "Харбалахский наслег" Верхневилюйского улуса (района) Республики Саха (Якутия). Республика Саха (Якутия), Верхневилюйский район (на западном берегу о. Харбалах, в северном направлении от села Кюль на расстоянии 350 м.)"
(Зарегистрирован 24.03.2026 № RU1401420223058)
Номер опубликования: 1401202603250004
Дата опубликования: 25.03.2026
Страница №5 из 20:
Увеличить