Официальное опубликование правовых актов
ОФИЦИАЛЬНОЕ ОПУБЛИКОВАНИЕ
Приказ Министерства экологии, природопользования и лесного хозяйства Республики Саха (Якутия) от 09.04.2026 № 01-05/1-216
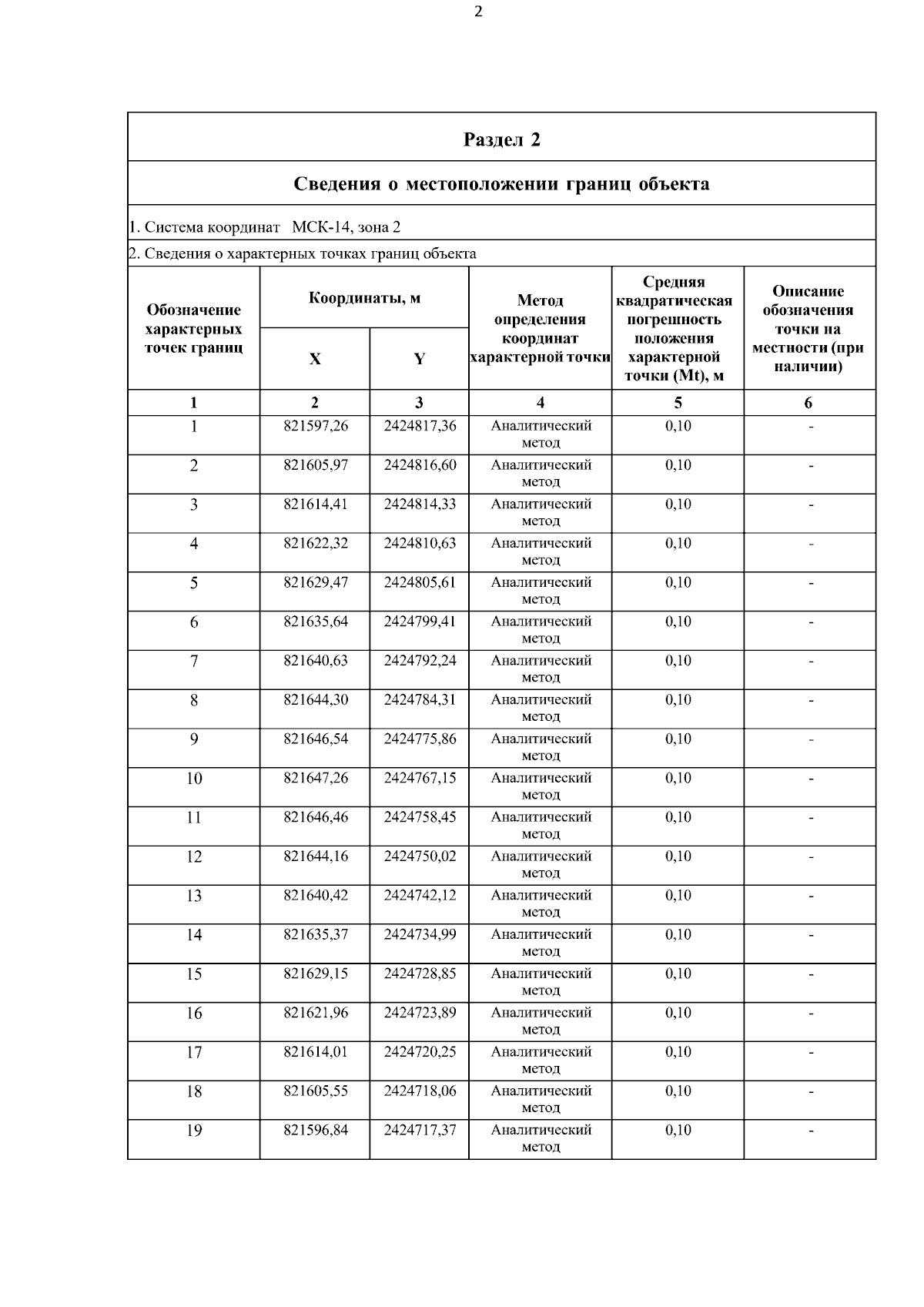
"Об установлении границ зон санитарной охраны (ЗСО) для водозаборной скважины №24Э "ЧЕПАЕВА" Вилюйского филиала АО "Теплоэнергосервис". Республики Саха (Якутия), Ленский район, г. Ленск, мкр. Мухтуя"
(Зарегистрирован 17.04.2026 № RU1401420223075)
Номер опубликования: 1401202604200002
Дата опубликования: 20.04.2026
Страница №4 из 21:
Увеличить