Официальное опубликование правовых актов
ОФИЦИАЛЬНОЕ ОПУБЛИКОВАНИЕ
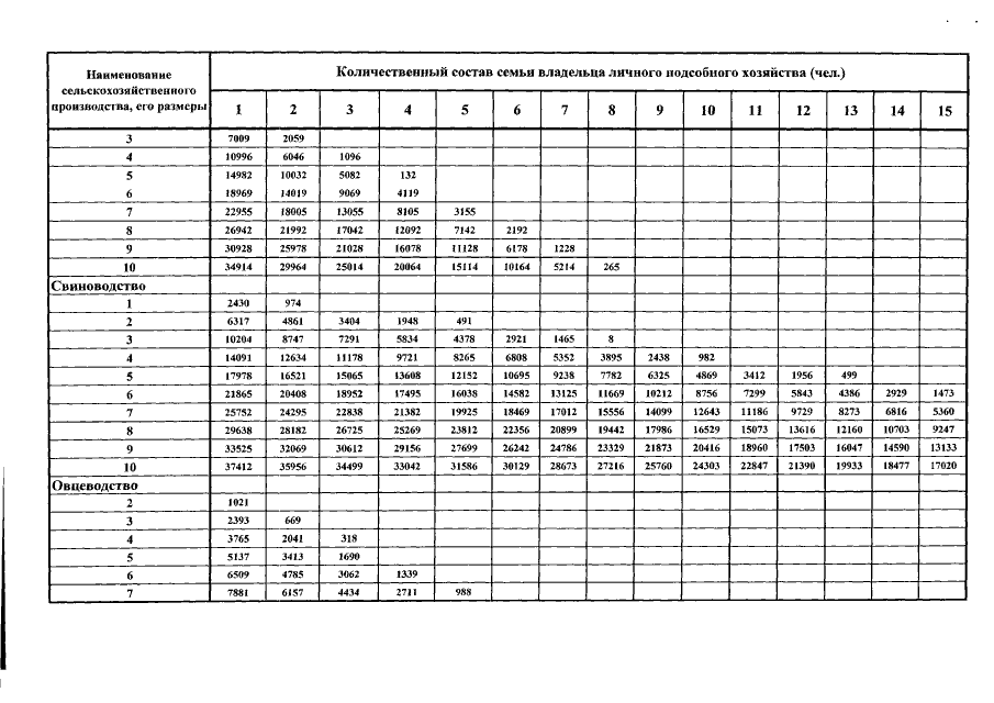
Постановление Правительства Республики Северная Осетия - Алания от 22.12.2015 № 351
"О годовых нормативах чистого дохода в стоимостном выражении от реализации плодов и продукции, полученных в личном подсобном хозяйстве, в Республике Северная Осетия-Алания на I полугодие 2016 года"
Номер опубликования: 1500201512250005
Дата опубликования: 25.12.2015
Страница №4 из 7:
Увеличить