Официальное опубликование правовых актов
ОФИЦИАЛЬНОЕ ОПУБЛИКОВАНИЕ
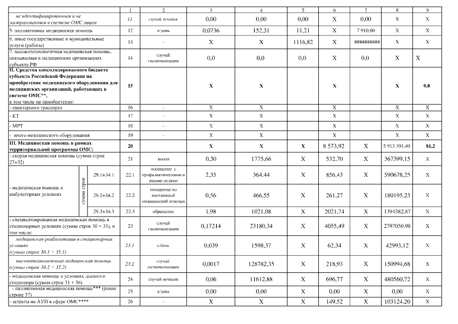
Постановление Правительства Республики Северная Осетия - Алания от 29.12.2015 № 369
"О Территориальной программе государственных гарантий бесплатного оказания гражданам медицинской помощи на территории Республики Северная Осетия-Алания на 2016 год"
Номер опубликования: 1500201601040029
Дата опубликования: 04.01.2016
Страница №147 из 149:
Увеличить