Распоряжение Правительства Республики Северная Осетия - Алания от 13.12.2016 № 368-р
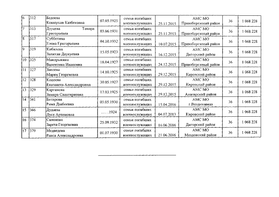
"Об утверждении списка граждан - получателей субсидий на улучшение жилищных условий в соответствии с Федеральным законом от 12 января 1995 года № 5-ФЗ "О ветеранах" и Указом Президента Российской Федерации от 7 мая 2008 года № 714 "Об обеспечении жильем ветеранов Великой Отечественной войны 1941-1945 годов", нуждающихся в улучшении жилищных условий"
"Об утверждении списка граждан - получателей субсидий на улучшение жилищных условий в соответствии с Федеральным законом от 12 января 1995 года № 5-ФЗ "О ветеранах" и Указом Президента Российской Федерации от 7 мая 2008 года № 714 "Об обеспечении жильем ветеранов Великой Отечественной войны 1941-1945 годов", нуждающихся в улучшении жилищных условий"
Номер опубликования: 1500201612190017
Дата опубликования:
19.12.2016
