Официальное опубликование правовых актов
ОФИЦИАЛЬНОЕ ОПУБЛИКОВАНИЕ
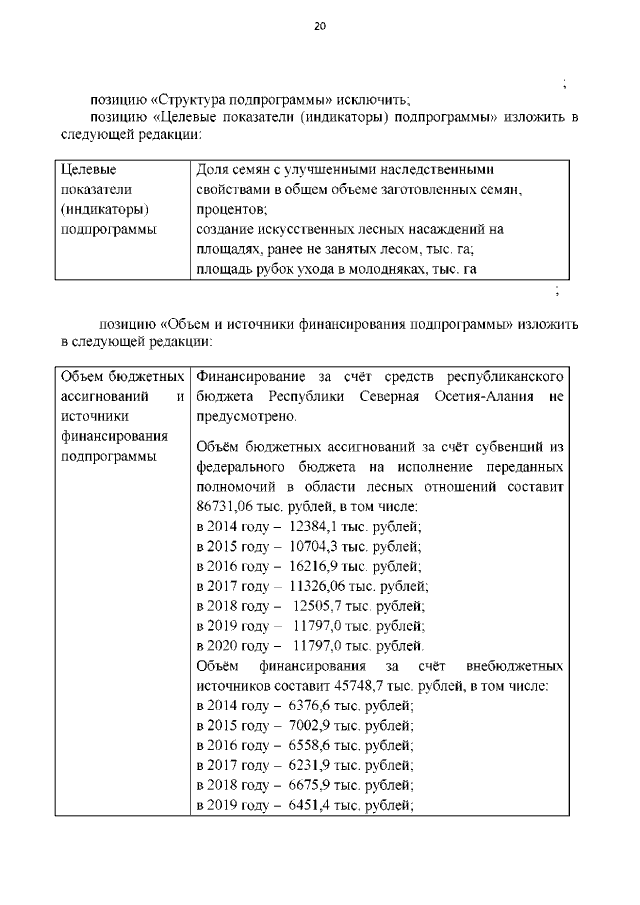
Постановление Правительства Республики Северная Осетия - Алания от 07.11.2017 № 399
"О внесении изменений в постановление Правительства Республики Северная Осетия-Алания от 28 октября 2013 года № 394 "Об утверждении государственной программы Республики Северная Осетия-Алания "Развитие лесного хозяйства Республики Северная Осетия-Алания на 2014-2020 годы"
Номер опубликования: 1500201711130001
Дата опубликования: 13.11.2017
Страница №21 из 73:
Увеличить