Постановление Правительства Республики Северная Осетия - Алания от 06.02.2018 № 42
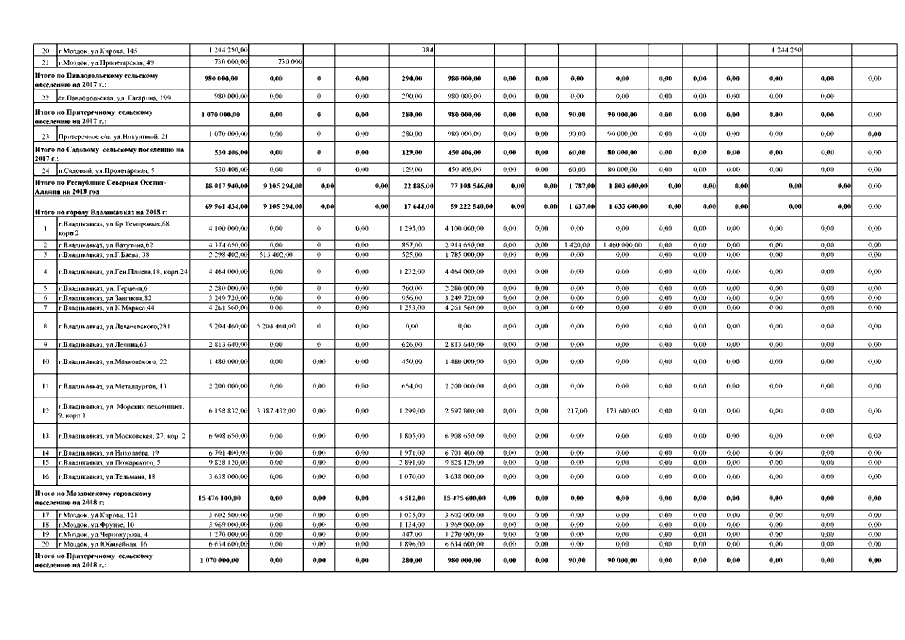
"О внесении изменений в постановление Правительства Республики Северная Осетия-Алания от 7 июня 2017 года № 231 "О краткосрочной республиканской программе "Капитальный ремонт общего имущества в многоквартирных домах" на 2017-2019 годы"
"О внесении изменений в постановление Правительства Республики Северная Осетия-Алания от 7 июня 2017 года № 231 "О краткосрочной республиканской программе "Капитальный ремонт общего имущества в многоквартирных домах" на 2017-2019 годы"
Номер опубликования: 1500201802140003
Дата опубликования:
14.02.2018
