Официальное опубликование правовых актов
ОФИЦИАЛЬНОЕ ОПУБЛИКОВАНИЕ
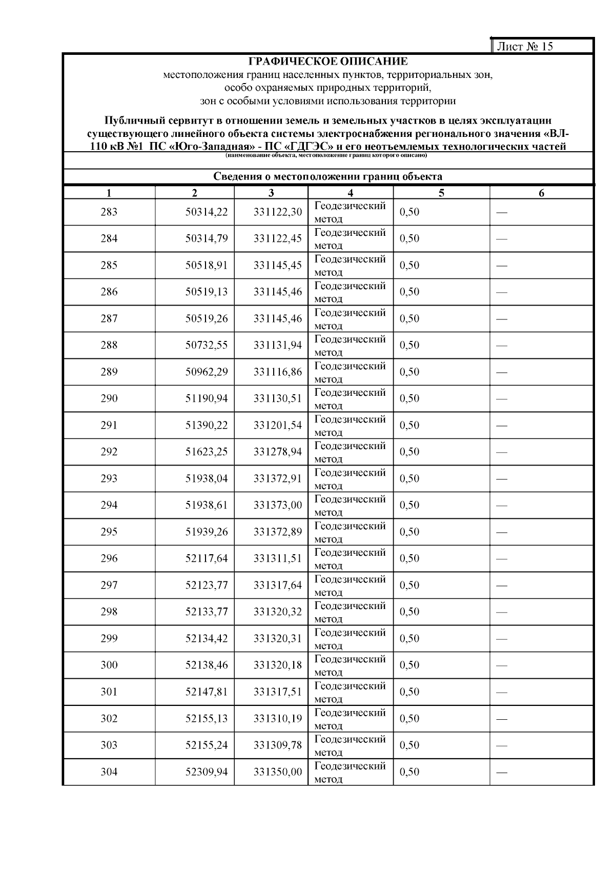
Постановление Правительства Республики Северная Осетия - Алания от 23.12.2024 № 560
"Об установлении публичного сервитута"
Номер опубликования: 1500202412260014
Дата опубликования: 26.12.2024
Страница №32 из 2310:
Увеличить