Официальное опубликование правовых актов
ОФИЦИАЛЬНОЕ ОПУБЛИКОВАНИЕ
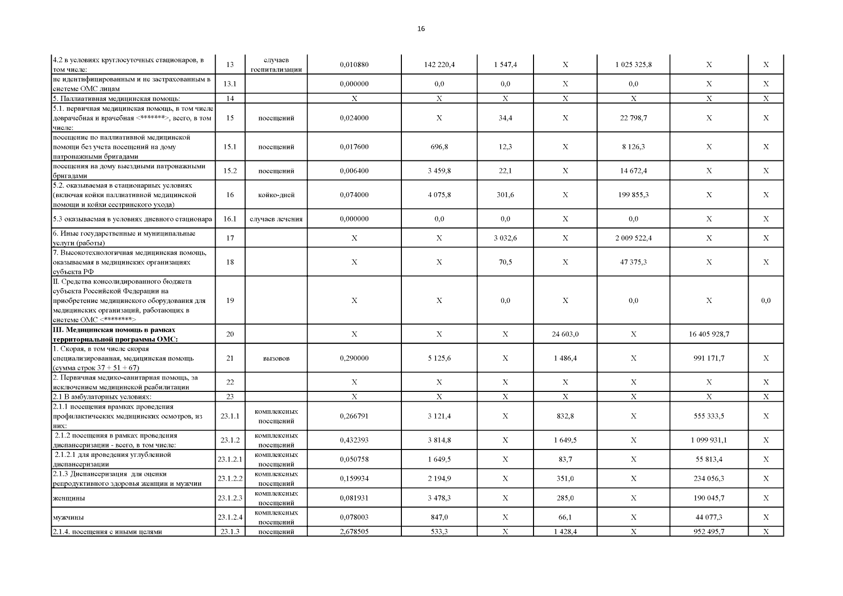
Постановление Правительства Республики Северная Осетия - Алания от 23.12.2024 № 557
"О Территориальной программе государственных гарантий бесплатного оказания гражданам медицинской помощи на территории Республики Северная Осетия-Алания на 2025 год и на плановый период 2026 и 2027 годов"
Номер опубликования: 1500202412260031
Дата опубликования: 26.12.2024
Страница №201 из 244:
Увеличить