Официальное опубликование правовых актов
ОФИЦИАЛЬНОЕ ОПУБЛИКОВАНИЕ
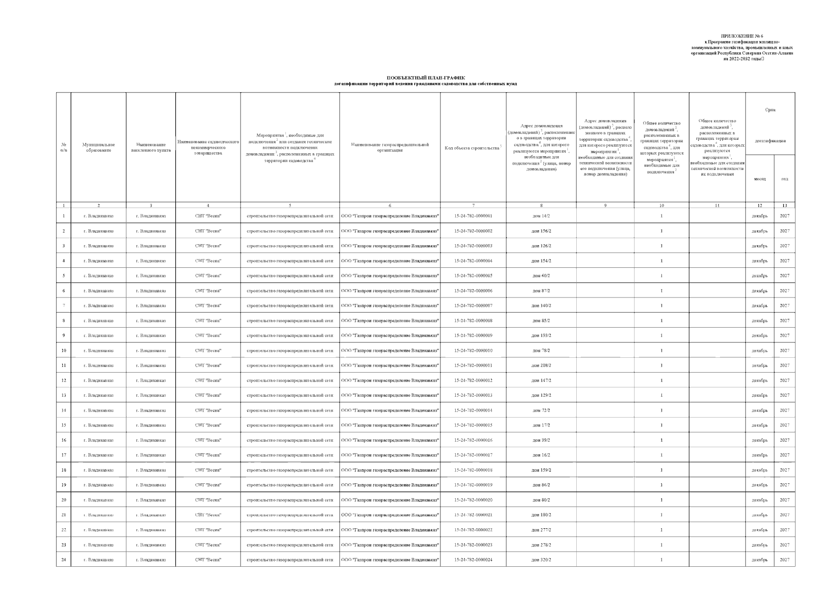
Постановление Правительства Республики Северная Осетия - Алания от 23.12.2024 № 565
"О внесении изменения в постановление Правительства Республики Северная Осетия-Алания от 1 декабря 2022 года № 523 "Об утверждении программы газификации жилищно-коммунального хозяйства, промышленных и иных организаций Республики Северная Осетия-Алания на 2022-2032 годы"
Номер опубликования: 1500202412280012
Дата опубликования: 28.12.2024
Страница №140 из 236:
Увеличить