Официальное опубликование правовых актов
ОФИЦИАЛЬНОЕ ОПУБЛИКОВАНИЕ
Постановление Правительства Республики Северная Осетия - Алания от 18.11.2025 № 441
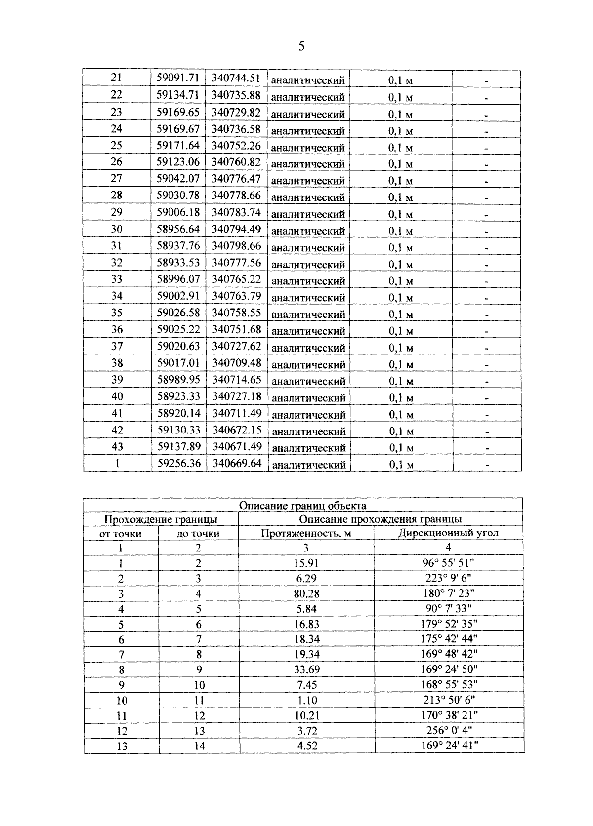
"Об утверждении объединенной зоны охраны объектов культурного наследия федерального значения: "Армяно-Григорианская церковь", расположенного по адресу: Республика Северная Осетия-Алания, г.Владикавказ, ул.Чермена Баева, 15/1; "Дом, где прошли детство и юность Е.Б. Вахтангова", расположенного по адресу: Республика Северная Осетия-Алания, г. Владикавказ, ул.Чермена Баева, 17 / ул.Армянская, 2; объектов культурного наследия регионального значения: "Дом Поповых, где бывал К.Л. Хетагуров. 1875 г.", расположенного по адресу: Республика Северная Осетия-Алания, г.Владикавказ, ул.Чермена Баева, 11; "Мастерская Османа Омарова. Литеры А, А-1, а-1", расположенного по адресу: Республика Северная Осетия-Алания, г.Владикавказ, ул.Армянская, 6 / Гаппо Баева, 22, - и требований к градостроительным регламентам в границах территории данной зоны"
Номер опубликования: 1500202511210008
Дата опубликования: 21.11.2025
Страница №7 из 18:
Увеличить