Официальное опубликование правовых актов
ОФИЦИАЛЬНОЕ ОПУБЛИКОВАНИЕ
Постановление Правительства Республики Северная Осетия - Алания от 02.12.2025 № 467
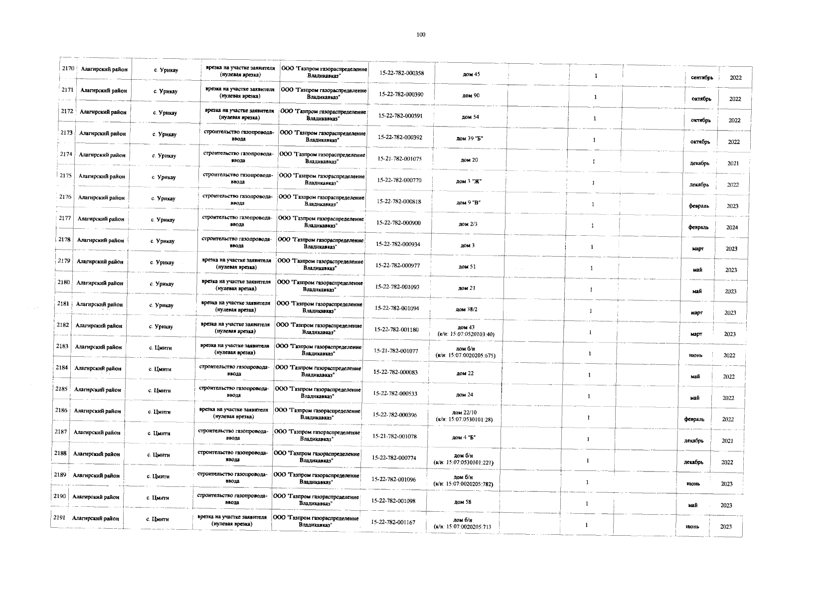
"О внесении изменения в постановление Правительства Республики Северная Осетия-Алания от 1 декабря 2022 года № 523 "Об утверждении программы газификации жилищно-коммунального хозяйства, промышленных и иных организаций Республики Северная Осетия-Алания на 2022-2032 годы"
Номер опубликования: 1500202512050009
Дата опубликования: 05.12.2025
Страница №130 из 422:
Увеличить