Официальное опубликование правовых актов
ОФИЦИАЛЬНОЕ ОПУБЛИКОВАНИЕ
Распоряжение Правительства Республики Северная Осетия - Алания от 02.12.2025 № 507-р
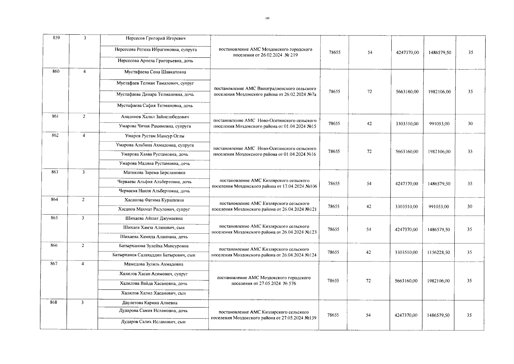
"Об утверждении сводного списка молодых семей-участников мероприятия по обеспечению жильем молодых семей федерального проекта "Содействие субъектам Российской Федерации в реализации полномочий по оказанию государственной поддержки в обеспечении жильем и оплате жилищно-коммунальных услуг" государственной программы Российской Федерации "Обеспечение доступным и комфортным жильем и коммунальными услугами граждан Российской Федерации"
Номер опубликования: 1500202512050016
Дата опубликования: 05.12.2025
Страница №134 из 171:
Увеличить