Официальное опубликование правовых актов
ОФИЦИАЛЬНОЕ ОПУБЛИКОВАНИЕ
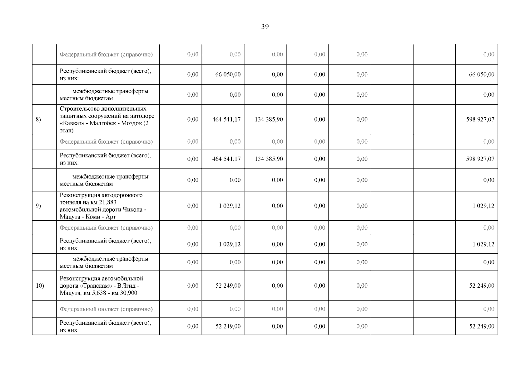
Постановление Правительства Республики Северная Осетия - Алания от 24.02.2026 № 55
"О внесении изменений в постановление Правительства Республики Северная Осетия-Алания от 19 декабря 2023 г. № 596 "Об утверждении государственной программы Республики Северная Осетия-Алания "Развитие дорожной инфраструктуры"
Номер опубликования: 1500202602260014
Дата опубликования: 26.02.2026
Страница №40 из 56:
Увеличить