Постановление Правительства Республики Северная Осетия - Алания от 05.03.2026 № 62
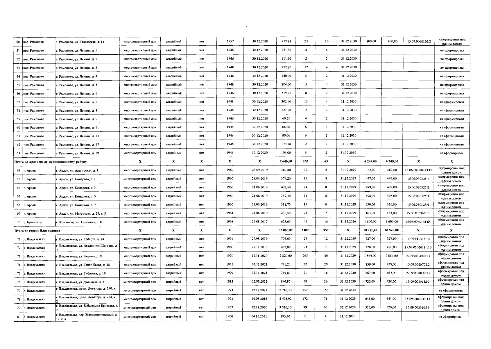
"О внесении изменений в постановление Правительства Республики Северная Осетия-Алания от 26 августа 2025 года № 311 "Об утверждении республиканской адресной программы "Переселение граждан из аварийного жилищного фонда на территории Республики Северная Осетия-Алания" на 2025 - 2030 годы"
"О внесении изменений в постановление Правительства Республики Северная Осетия-Алания от 26 августа 2025 года № 311 "Об утверждении республиканской адресной программы "Переселение граждан из аварийного жилищного фонда на территории Республики Северная Осетия-Алания" на 2025 - 2030 годы"
Номер опубликования: 1500202603100002
Дата опубликования:
10.03.2026
