Официальное опубликование правовых актов
ОФИЦИАЛЬНОЕ ОПУБЛИКОВАНИЕ
Постановление Правительства Республики Северная Осетия - Алания от 23.03.2026 № 81
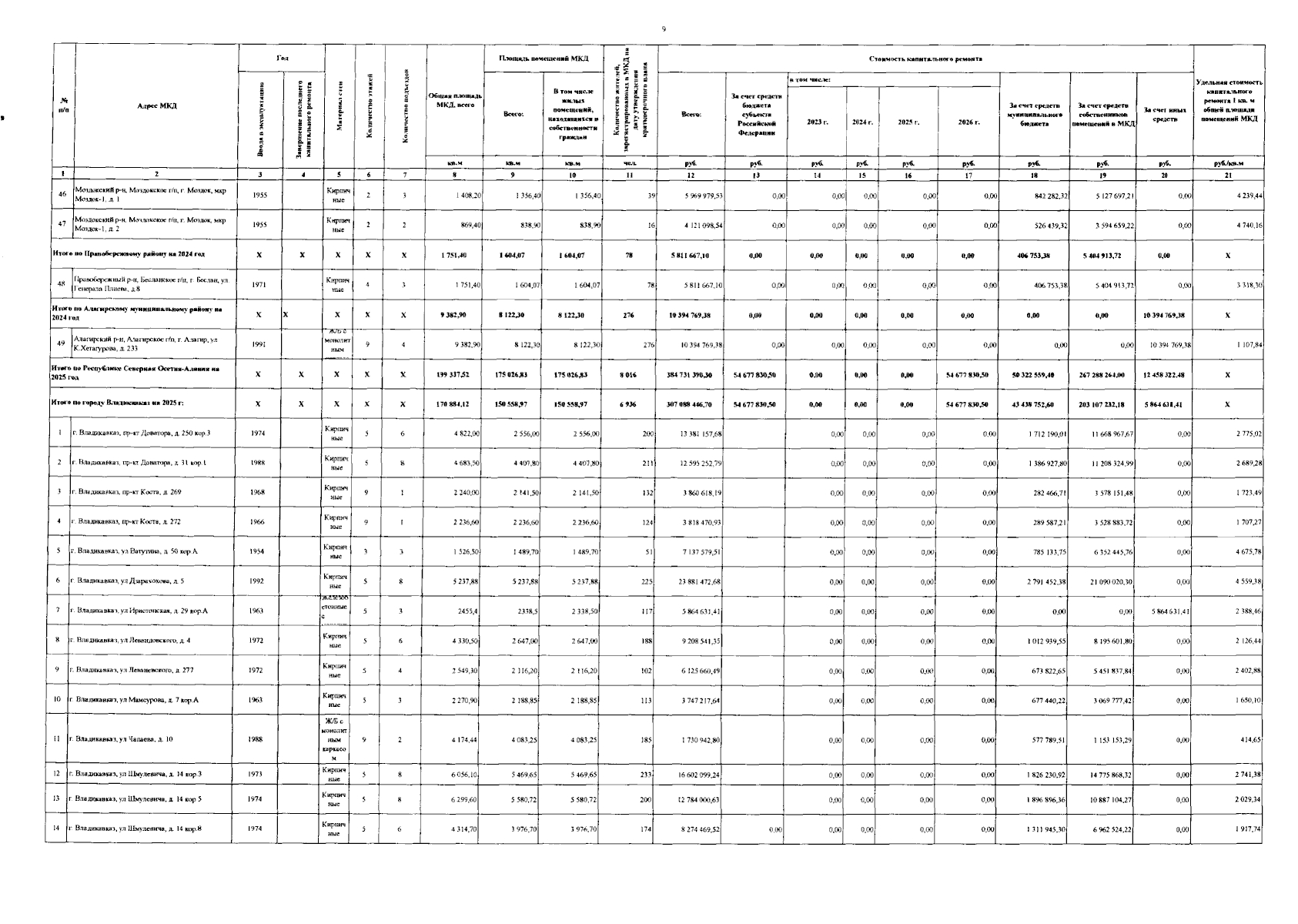
"О внесении изменений в постановление Правительства Республики Северная Осетия-Алания от 28 декабря 2022 года № 591 "О краткосрочной республиканской программе "Капитальный ремонт общего имущества в многоквартирных домах" на 2023 - 2025 годы"
Номер опубликования: 1500202603260002
Дата опубликования: 26.03.2026
Страница №10 из 17:
Увеличить