Официальное опубликование правовых актов
ОФИЦИАЛЬНОЕ ОПУБЛИКОВАНИЕ
Постановление Правительства Республики Северная Осетия - Алания от 25.03.2026 № 95
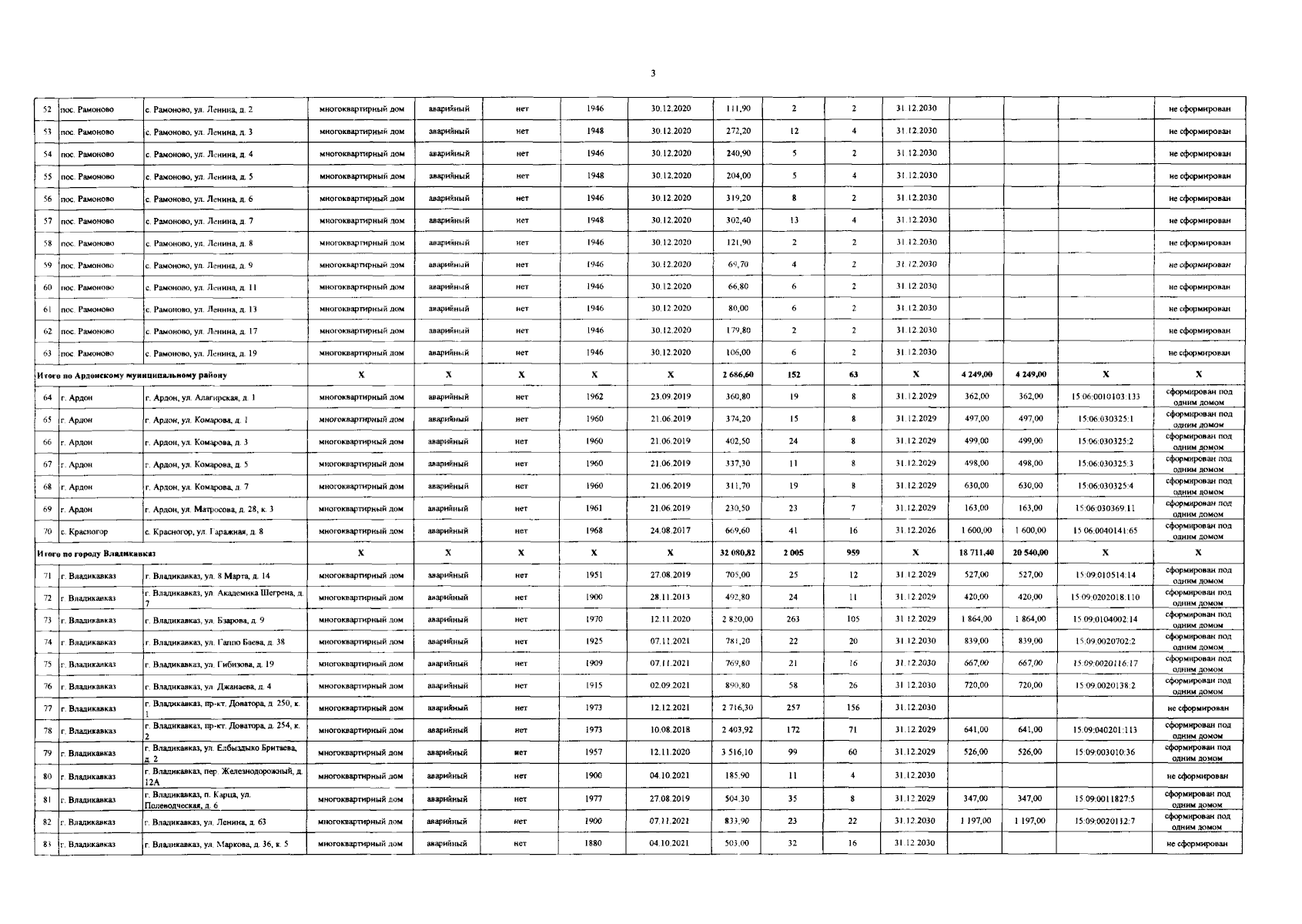
"О внесении изменений в постановление Правительства Республики Северная Осетия-Алания от 26 августа 2025 года № 311 "Об утверждении республиканской адресной программы "Переселение граждан из аварийного жилищного фонда на территории Республики Северная Осетия—Алания" на 2025 - 2030 годы"
Номер опубликования: 1500202604010015
Дата опубликования: 01.04.2026
Страница №5 из 13:
Увеличить